EasyManua.ls Logo

Siemens SINUMERIK 828D - Page 250

Siemens SINUMERIK 828D
1799 pages
Print Icon
To Next Page IconTo Next Page
To Next Page IconTo Next Page
To Previous Page IconTo Previous Page
To Previous Page IconTo Previous Page
Loading...
B2: Acceleration
4.2 Functions
Basic Functions
250 Function Manual, 09/2011, 6FC5397-0BP40-2BA0
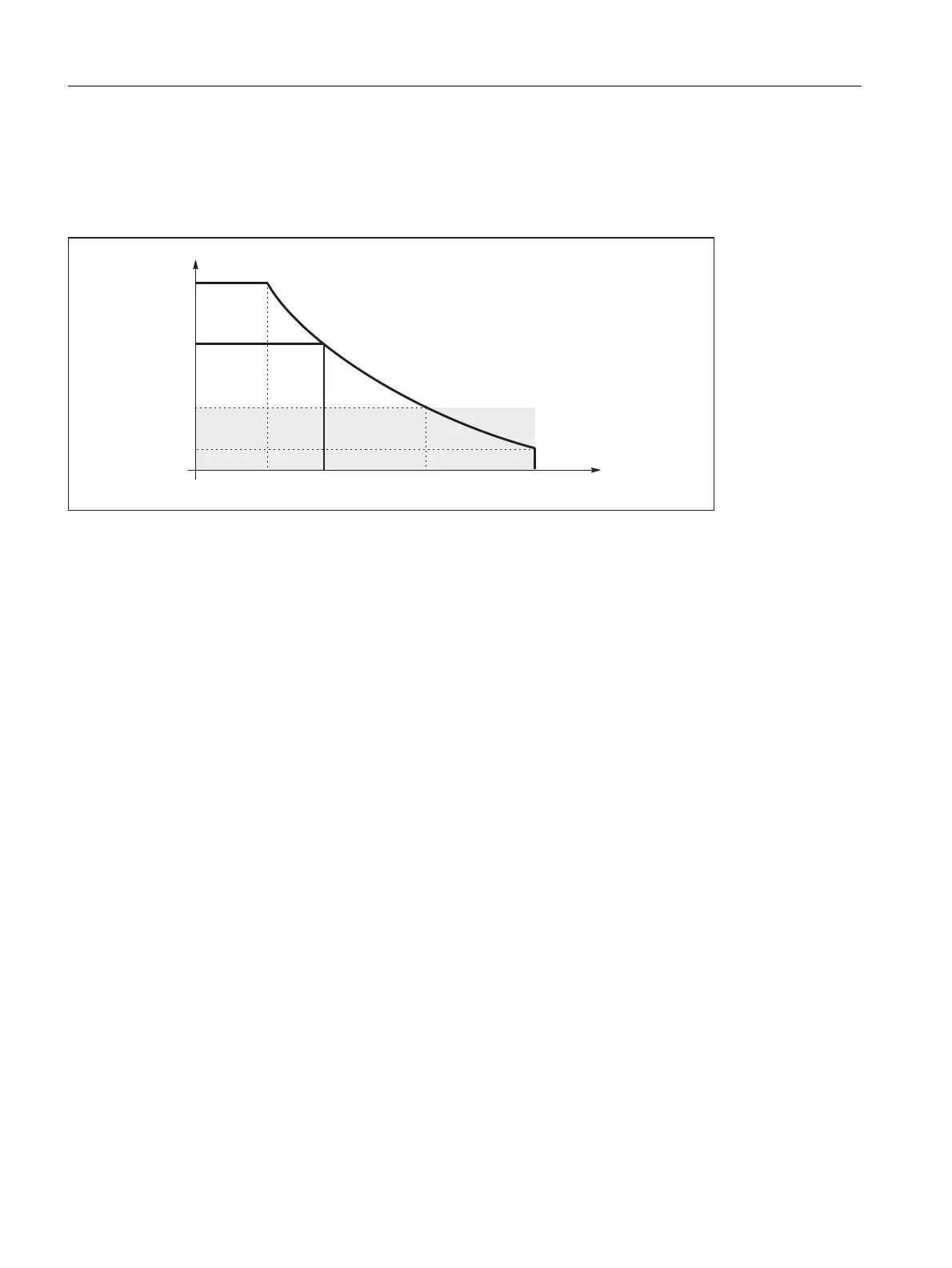
Substitute characteristic curve with linear path sections
Limitation to this value is applied if the programmed path velocity is greater than that at which 15 % of the
maximum acceleration capacity is still available (v
15%a
). Consequently, 15 % of the maximum acceleration
capacity/motor torque always remains available, whatever the machining situation.
Figure 4-10 Substitute path characteristic curve: Linear path
a
ers
: Substitute characteristic curve constant acceleration
a
15%
: Minimal constant acceleration
a
15%
= 0.15 * (a
max
- a
red
) + a
red
v
ers
: Substitute characteristic curve velocity
v
prog
: Programmed velocity
v
15%a
: Velocity at a
15%
/RFNHG]RQH
Y
D
Y
SURJ
D

D
HUV
D
UHG
D
PD[
Y
UHG
Y
PD[
D
Y

Table of Contents

Other manuals for Siemens SINUMERIK 828D

Related product manuals