EasyManua.ls Logo

Agilent Technologies 1100 Series - Leak Test

Agilent Technologies 1100 Series
288 pages
Print Icon
To Next Page IconTo Next Page
To Next Page IconTo Next Page
To Previous Page IconTo Previous Page
To Previous Page IconTo Previous Page
Loading...
1100 Series Nano Pump Service Manual 73
Troubleshooting and Test Functions 2
Leak Test
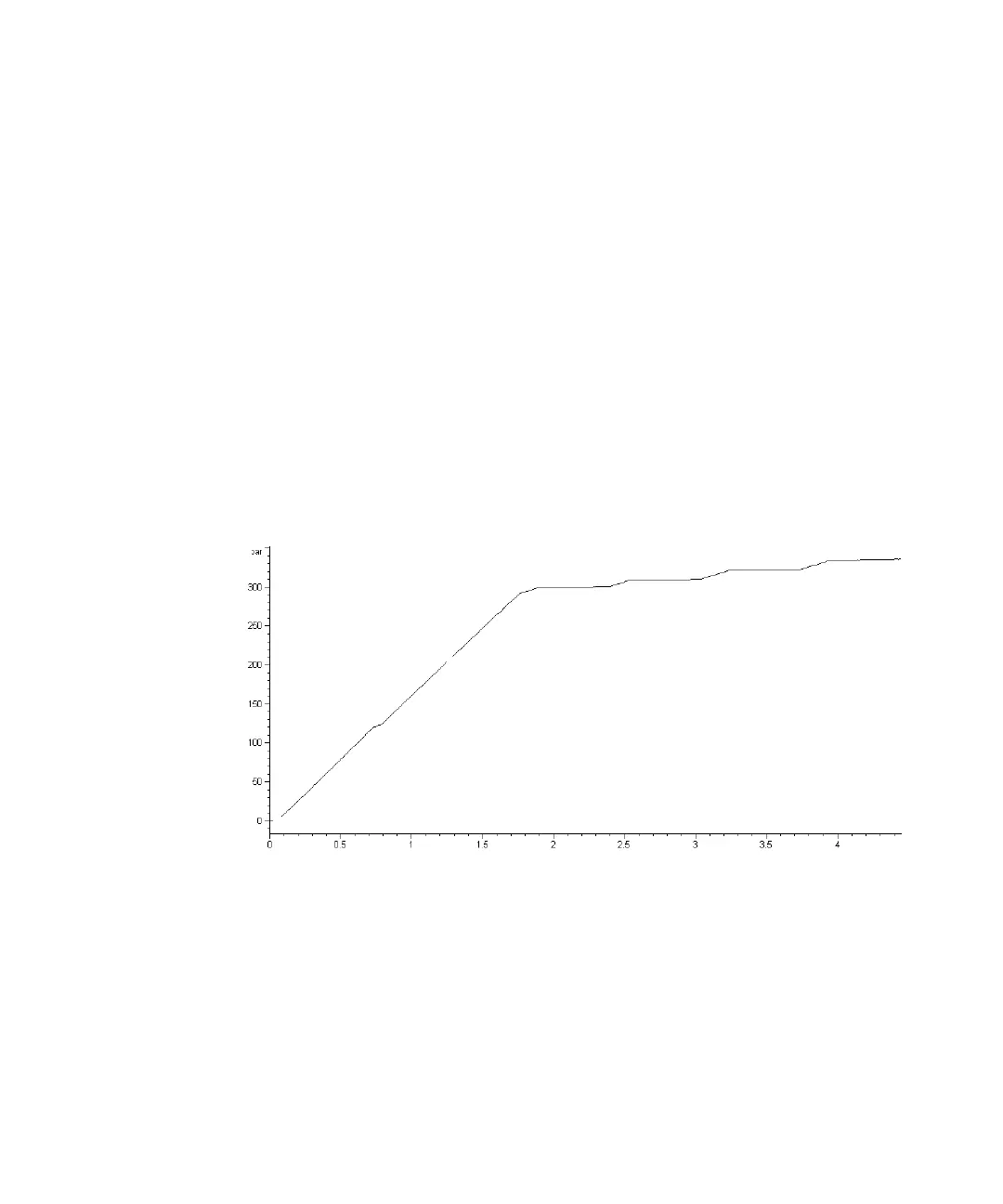
The leak test is a built-in troubleshooting test designed to demonstrate the
leak-tightness of the nano pump. The test should be used when problems with
the nano pump are suspected. The test involves monitoring the pressure
profile as the nano pump runs through a predefined pumping sequence. The
resulting pressure profile provides information about the pressure tightness
and operation of the nano pump components.
Description
The pump outlet is blocked with a blank nut, and then the test is run using
isopropyl alcohol (IPA), while monitoring the pressure profile (using an
integrator on the analog output, or in the plot screen in the Control Module or
the ChemStation). The pressure profile is shown in Figure 9.
Ramp 1 The test begins with the initialization of both pumps. After initialization,
plungers A1 and B1 are both at the top of their stroke. Next, the nano pump
begins pumping solvent with a flow rate of 150 µl/min, stroke of 100 µl, and a
composition of 51 %A, 49 %B. Both pumps deliver for one complete pump
cycle. At the end of this step, plungers A1 and B1 are at the top of their stroke.
Figure 9 Typical Leak-Test Pressure Profile with IPA
Pressure
[bar]
Time [minutes]
Plateau 1
Plateau 2
Plateau 3
Plateau 4
Pump A
Piston 2
Pump B
Piston 2
Pump A
Piston 1
Pump B
Piston 1
Ramp 2
Ramp 1
Ramp 3
Ramp 4
Ramp 5
Ramp 6

Table of Contents

Other manuals for Agilent Technologies 1100 Series

Related product manuals