EasyManua.ls Logo

Waters GCT Premier - Page 308

Default Icon
382 pages
Print Icon
To Next Page IconTo Next Page
To Next Page IconTo Next Page
To Previous Page IconTo Previous Page
To Previous Page IconTo Previous Page
Loading...
B-30 The MassLynx Tune window
Set Maximum Emitter
Current button
Opens the Emitter Current Control dialog box.
You can specify the maximum emitter current to
be used. For FI mode, use 10 mA.
Emitter Current The current that is passed through the emitter
during an acquisition or tuning.
Tip: For maximum sensitivity, this parameter is
normally set to zero.
Flash Off Current Sets the emitter current, which is used during the
inter scan delay. This function desorb any
condensed material on the emitter and ensures
maximum sensitivity. (A value of 3 to 8 mA can be
required).
Heater Current The current passed through the extraction rods to
heat the rods. The rods are normally heated when
using waxy samples.
Note: The absolute sensitivity of the instrument
decreases when the rods are heated.
Note: The rods should normally be left cold
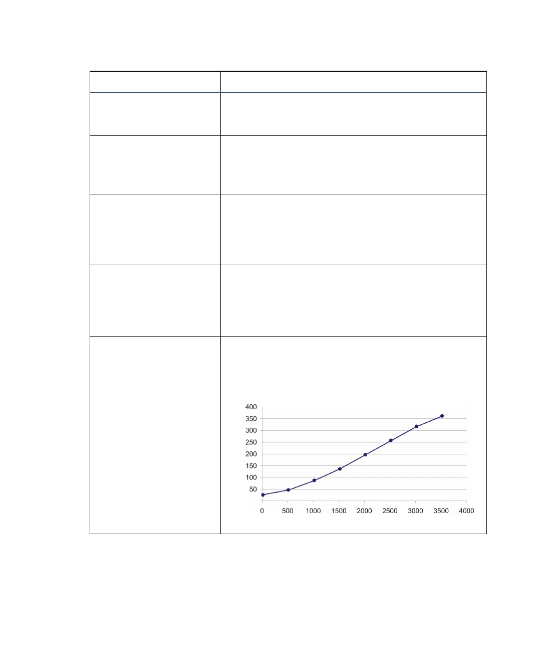
The graph below shows the increase in tempera-
ture as the current applied to the rods is increased.
FI Tune tab parameters: (Continued)
Parameter Description
Current /mA
Temperature (°C)
Heated FI rods

Table of Contents

Related product manuals