EasyManua.ls Logo

COBHAM SAILOR 900 - Figure 3-12: Recommended Distance to Transmitters (M) for Frequencies below 1000 Mhz

COBHAM SAILOR 900
245 pages
Print Icon
To Next Page IconTo Next Page
To Next Page IconTo Next Page
To Previous Page IconTo Previous Page
To Previous Page IconTo Previous Page
Loading...
Site preparation
98-150471-A02 Chapter 3: Installation 3-15
Installation
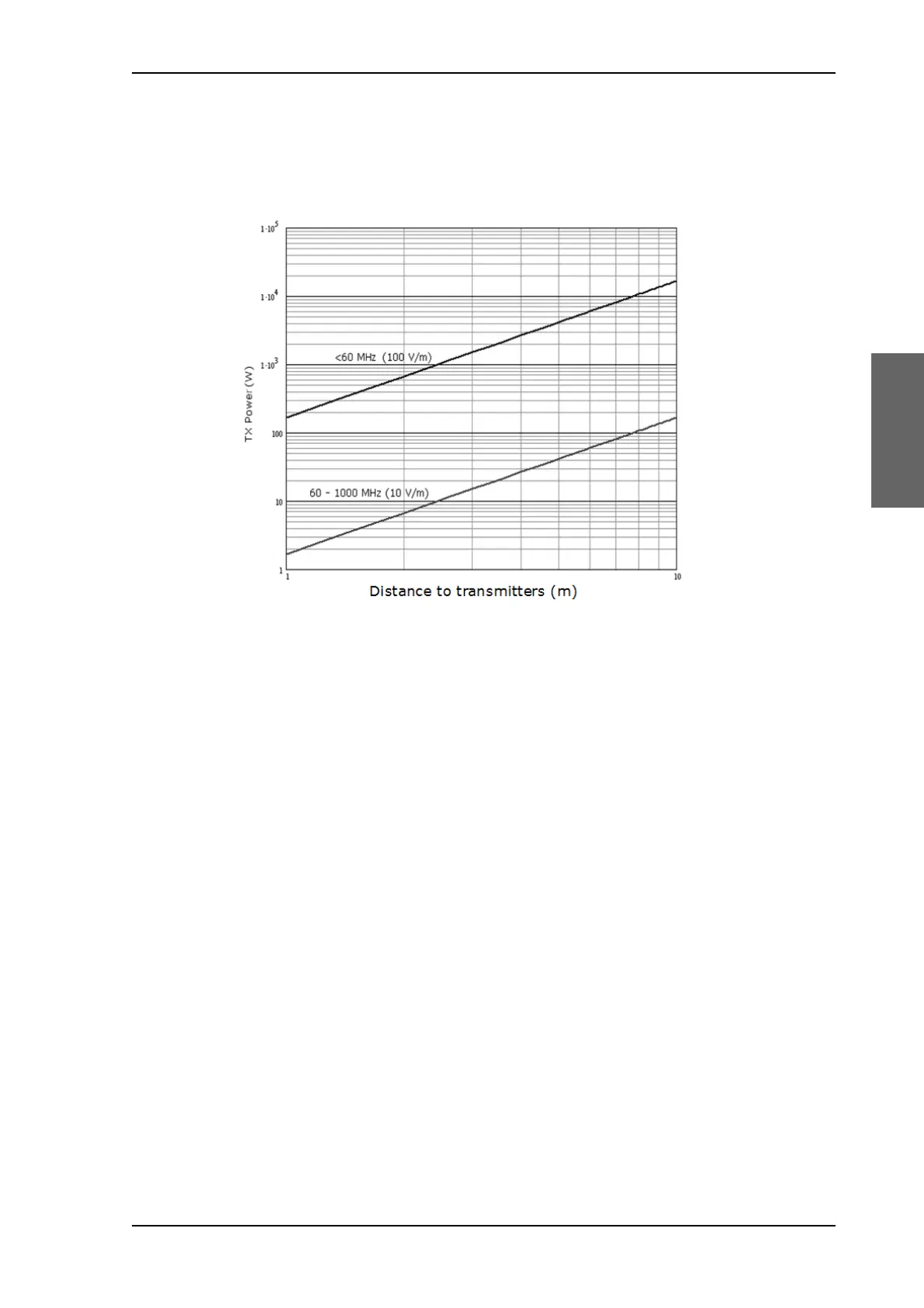
Other transmitters
The following figure shows the minimum recommended distance to transmitters in the
frequency range below 1000 MHz.
Figure 3-12: Recommended distance to transmitters (m) for frequencies below
1000 MHz
SAILOR900HP.book Page 15 Monday, July 18, 2016 12:44 PM

Table of Contents

Related product manuals