EasyManua.ls Logo

Mita PointSource Ai 5555 - Brightness;Density Conversion; AE Processing; Text;Dot Pattern Identification; Filtering

Default Icon
285 pages
Print Icon
To Next Page IconTo Next Page
To Next Page IconTo Next Page
To Previous Page IconTo Previous Page
To Previous Page IconTo Previous Page
Loading...
1 - 4
PROCESS
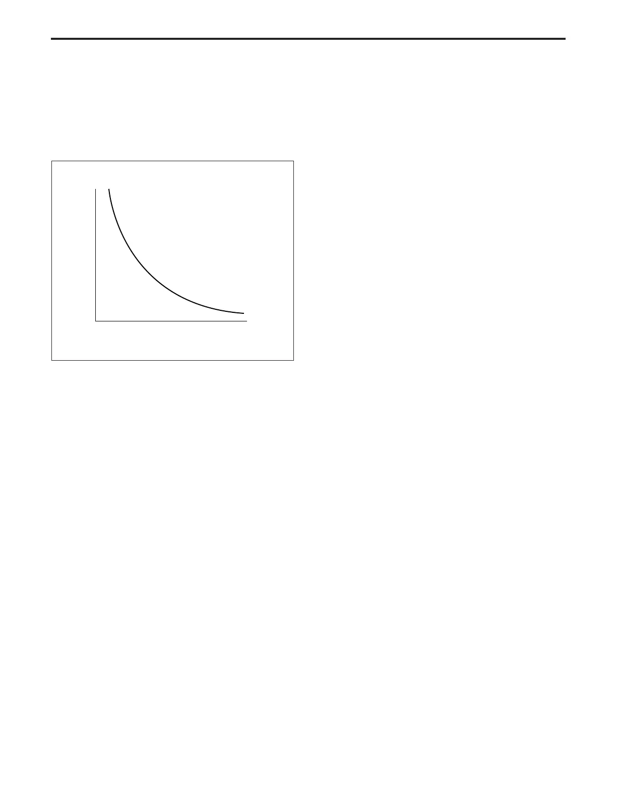
[5] Brightness/Density Conversion
The signal resulting from shading correction corresponds to
the light reflected off the original, hence it is generally called a
brightness signal. The brightness/density conversion section
converts the brightness signal into a density signal, as shown
below.
[6] AE Processing
A density that is suitable for the density of the original is
automatically selected by AE processing, and a suitable copy
made.
1. AE sampling range
(1) Platen mode: B5R width x Original length
255
1024
0
Brightness
Density
Fig.6
[7] Text/Dot Pattern Identification
In order to copy an original under the optimum conditions, the
text/dot pattern identification section judges whether the read
part is text, dot pattern or a photograph, and uses the results
in the subsequent filtering section.
[8] Filtering
Appropriate filtering takes place according to the kind of
original and the selected magnification.
(1) Text filter ................ Highlights the light and dark parts
of the original.
(2) Dot pattern filter ..... Reduces moire.
(3) Photograph filter .... Improves the gray scale repro-
duction.

Table of Contents