EasyManua.ls Logo

Roche Multiplate - Page 197

Roche Multiplate
198 pages
Print Icon
To Next Page IconTo Next Page
To Next Page IconTo Next Page
To Previous Page IconTo Previous Page
To Previous Page IconTo Previous Page
Loading...
Roche Diagnostics
Operator’s Manual · Version 3.0 197
Multiplate® analyzer 8 Troubleshooting
Dealing with exceptional situations
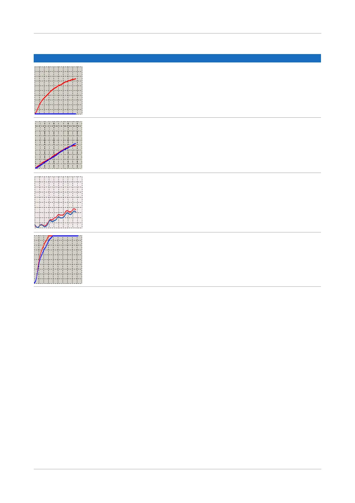
One of the two curves appears as a
flat line at the bottom of the
graphic window.
(Data alarm, because the deviation
from the mean and the correlation
coefficient are outside the
specified range)
Short circuit of the test cell
sensors.
Repeat the measurement using a
new test cell.
The measurement shows an
increase, although only NaCl was
added to the test cell.
If an “empty measurement” is
conducted by adding NaCl instead
of blood such curves may occur.
Chloride ions from the NaCl and
silver from the surface of the
sensors may form silver chloride,
which leads to a drift of resistance.
Comply with the intended use of
the analyzer, i.e. use either blood
or LQC solution 1 for
measurements. Solution 1
contains NaCl and proteins
(gelatine), which prevent the
occurrence of the described
phenomenon.
The curves are looking like waves
beginning with channel 1. At the
end all channels are affected. At
the same time the electronic
control measurement is outside its
range (CV is higher than allowed
beginning in channel 1).
The power supply is old and needs
to be replaced urgently because it
will soon be faulty.
Contact your Roche Service
representative.
Results are obviously to high. Measurement time might be too
long.
Check measurement time.
Manufacturer defined Multiplate
tests have a measurement time of
6 minutes.
Situation Description Cause Remedy
Table 8-7 Not plausible results (including data alarms)

Table of Contents

Related product manuals