EasyManua.ls Logo

Trio Motion Coordinator MC216 - Page 228

Trio Motion Coordinator MC216
566 pages
Print Icon
To Next Page IconTo Next Page
To Next Page IconTo Next Page
To Previous Page IconTo Previous Page
To Previous Page IconTo Previous Page
Loading...
8-38 Trio BASIC Commands
Motion and Axis Commands
Trio Motion Technology
Note:
The command uses the
BASE()
and
AXIS(
), and unit conversion factors in a similar
way to other move commands.
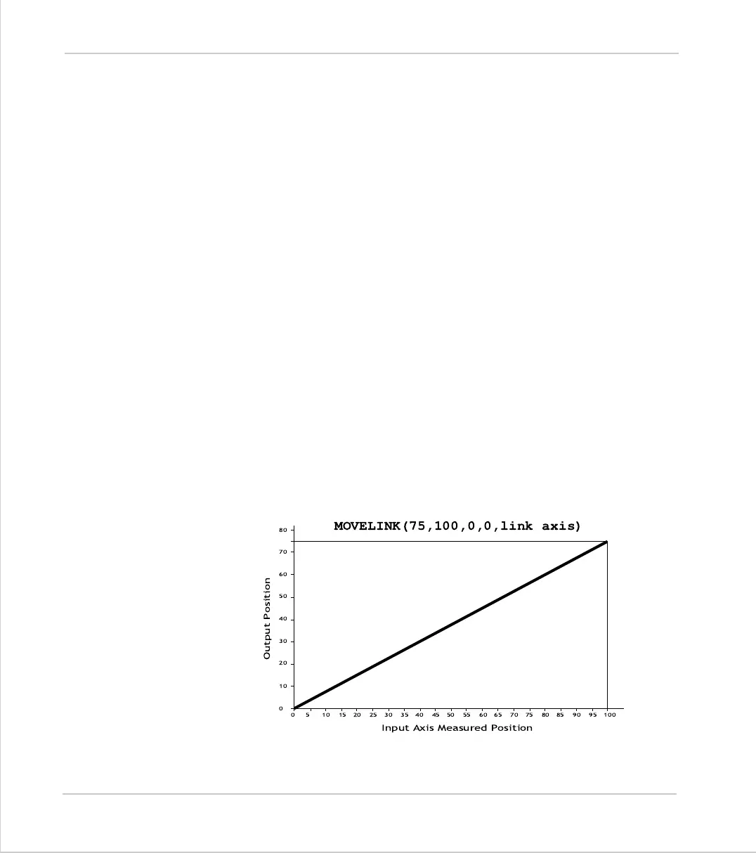
The “link” axis may move in either direction to drive the output motion. The link
distances specified are always positive.
Note 2:
Parameters 6 and 7 are optional.
link dec:
positive incremental distance in user units on the input axis
over which the base axis decelerates.
N.B. If the sum of parameter 3 and parameter 4 is greater than
parameter 2, they are both reduced in proportion until they
equal parameter 2.
link axis:
Specifies the axis to “link” to. It should be set to 0...number
of available axes
link options: 1
link commences exactly when registration event occurs on
link axis
2
link commences at an absolute position on link axis (see
link pos
parameter)
4
MOVELINK
repeats automatically and bi-directional when
this bit is set. (This mode can be cleared by setting bit 1 of
the
REP_OPTION
axis parameter)
link pos:
This parameter is the absolute position where the
MOVELINK
link is to be started when parameter 6 is set to 2.
                  








 
 
   

Table of Contents

Related product manuals