EasyManua.ls Logo

LSIS XDL-L7SA002X - Page 263

LSIS XDL-L7SA002X
275 pages
Print Icon
To Next Page IconTo Next Page
To Next Page IconTo Next Page
To Previous Page IconTo Previous Page
To Previous Page IconTo Previous Page
Loading...
8. Maintenance and Inspection
8-13
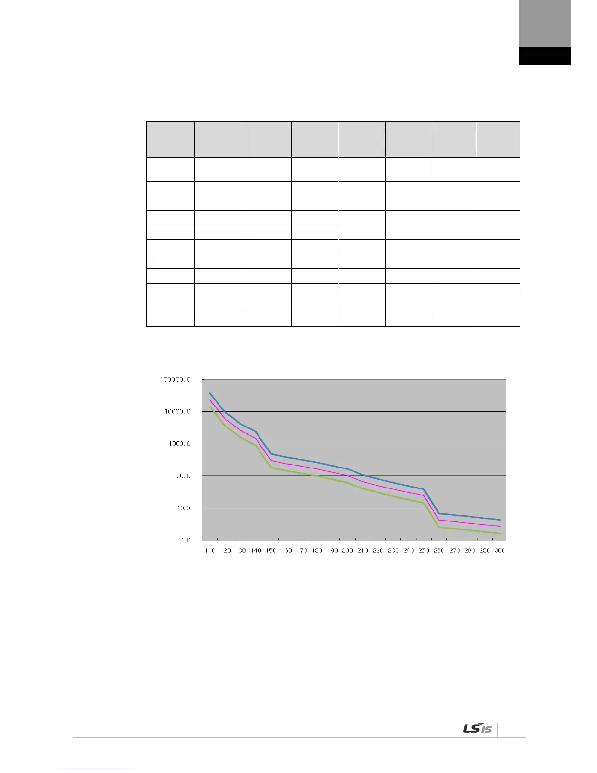
Servo Drive Overload Graphs (2.0KW, 3.5kW)
(1) Graph of Overload during Rotation
Load(%)
AL-21
Occurring
Time(sec)
MAX MIN Load(%)
AL-21
Occurring
Time(sec)
MAX MIN
100% or
below
Infinite
110 4832.0 7731.2 2899.2 210 66.8 106.9 40.08
120 1208.0 1932.8 724.8 220 50.1 80.2 30.06
130 536.9 859.0 322.1333 230 38.5 61.6 23.1
140 302.0 483.2 181.2 240 30.3 48.5 18.18
150 257.0 411.2 154.2 250 24.2 38.7 14.52
160 229.0 366.4 137.4 260 4.2 6.7 2.52
170 200.0 320.0 120 270 3.8 6.1 2.28
180 165.0 264.0 99 280 3.4 5.4 2.04
190 131.0 209.6 78.6 290 3.0 4.8 1.8
200 103.0 164.8 61.8 300 2.7 4.3 1.62
Load Curve During Rotation
Load Factor (%)
Time (sec)

Table of Contents

Related product manuals