EasyManua.ls Logo

Safran CORTEX CRT Quantum - Rd Order PLL

Safran CORTEX CRT Quantum
346 pages
Print Icon
To Next Page IconTo Next Page
To Next Page IconTo Next Page
To Previous Page IconTo Previous Page
To Previous Page IconTo Previous Page
Loading...
COMMAND RANGING & TELEMETRY UNIT CORTEX
CRT QUANTUM USER'S MANUAL
Ref. DTU 100042
Is.Rev. 5.17
Date: Dec.
03, 2021Sept. 30, 2021
© Safran Data Systems
This document is the property of Safran Data Systems.
It cannot be duplicated or distributed without expressed written consent.
Page 47
3.3.3.2. 3
rd
Order PLL
The 3rd order loop is used when you have to manage not only Doppler, but also Doppler Rate.
Doppler Rate is the derivative of the Frequency Shift. Unit is Hz.s
-1
Doppler Acceleration is the derivative of Doppler Rate. Unit is Hz.s
-2
Example: With the same conditions as the 2
nd
order loop, with the 3
rd
order loop, you are theoretically able to
track an infinite Doppler rate. The limitation is now on the acceleration of the Doppler shift.
The 3
rd
order loop relaxes the Doppler rate constraint; phase bias is not generated any more by the Doppler rate
but by Doppler acceleration according to the following formula:

󰇛󰇜

In the same idea, the value of is resulting from internal optimization and experience. In the Cortex CRT-DS,
the value is equal to .
The limitation is done with the kind of equation as 2
nd
order loop, i.e 
.
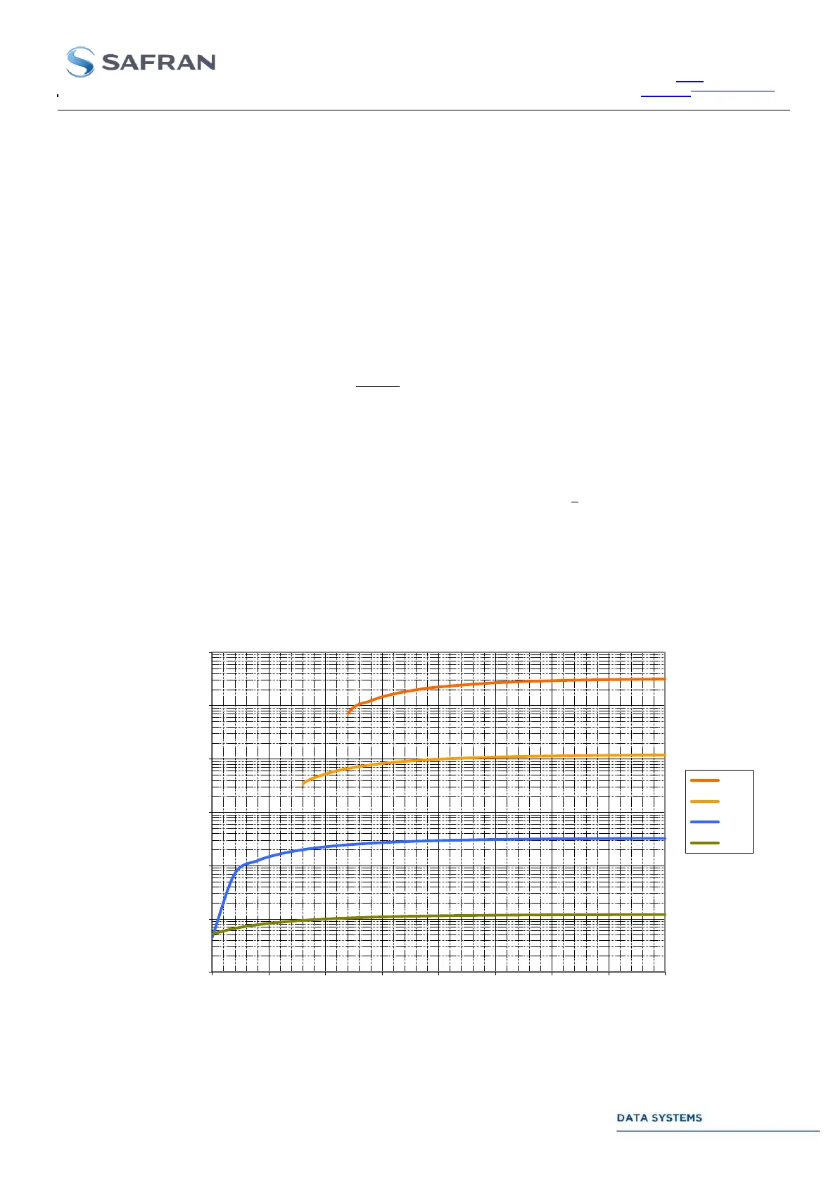
The graph below shows the theoretical tracking capacity of the 3
rd
order PLL. The real limit on the Cortex CRT-
DS is lower (typically ½ the theoretical limit).
Figure 25: 3rd Order PLL Tracking capacity
.010E-04
.100E-04
1.000E-04
.001E+00
.010E+00
.100E+00
1.000E+00
10 15 20 25 30 35 40 45 50
Hz/s
2
C/N0 (dB.Hz)
Max Doppler Acceleration
30 Hz
10 Hz
3 Hz
1 Hz

Table of Contents