EasyManua.ls Logo

Safran CORTEX CRT Quantum - Convolutional Decoding

Safran CORTEX CRT Quantum
346 pages
Print Icon
To Next Page IconTo Next Page
To Next Page IconTo Next Page
To Previous Page IconTo Previous Page
To Previous Page IconTo Previous Page
Loading...
COMMAND RANGING & TELEMETRY UNIT CORTEX
CRT QUANTUM USER'S MANUAL
Ref. DTU 100042
Is.Rev. 5.17
Date: Dec.
03, 2021Sept. 30, 2021
© Safran Data Systems
This document is the property of Safran Data Systems.
It cannot be duplicated or distributed without expressed written consent.
Page 62
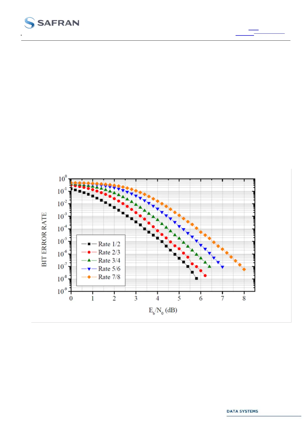
3.3.6.2. Convolutional Decoding
Convolutional coding technique is well suited for telemetry channels with predominant Gaussian noise.
Convolutional decoding and error-correction by the CORTEX CRT Quantum complies to the CCSDS
recommendation CCSDS 131.0-B-3. The following coding characteristics should be used:
Convolutional code with maximum likelihood (Viterbi) decoding
Code rate : 1/2, 1/3, 2/3, 3/4, 5/6, 7/8 bit per symbol
Constraint length : 7 bits
Connection vectors : G1 = 1111001; G2 = 1011011; for 1/3 rate G3 = 1100101
Phase relationship : G1 is associated with first or second symbol. Not programmable for 1/3 rate.
Symbol inversion : Programmable on output path of G2 (inverted or not inverted). Not
programmable for 1/3 rate.
The TMU monitoring table indicates if the Viterbi decoder is locked or unlocked and gives the symbol error rate.
Figure 30: Probability of Bit Error versus Eb/No.
Ref : CCSDS130.1-G-2 (§ 4.6), November 2012

Table of Contents