EasyManua.ls Logo

Safran CORTEX CRT Quantum - Page 284

Safran CORTEX CRT Quantum
346 pages
Print Icon
To Next Page IconTo Next Page
To Next Page IconTo Next Page
To Previous Page IconTo Previous Page
To Previous Page IconTo Previous Page
Loading...
COMMAND RANGING & TELEMETRY UNIT CORTEX
CRT QUANTUM USER'S MANUAL
Ref. DTU 100042
Is.Rev. 5.17
Date: Dec.
03, 2021Sept. 30, 2021
© Safran Data Systems
This document is the property of Safran Data Systems.
It cannot be duplicated or distributed without expressed written consent.
Page 204
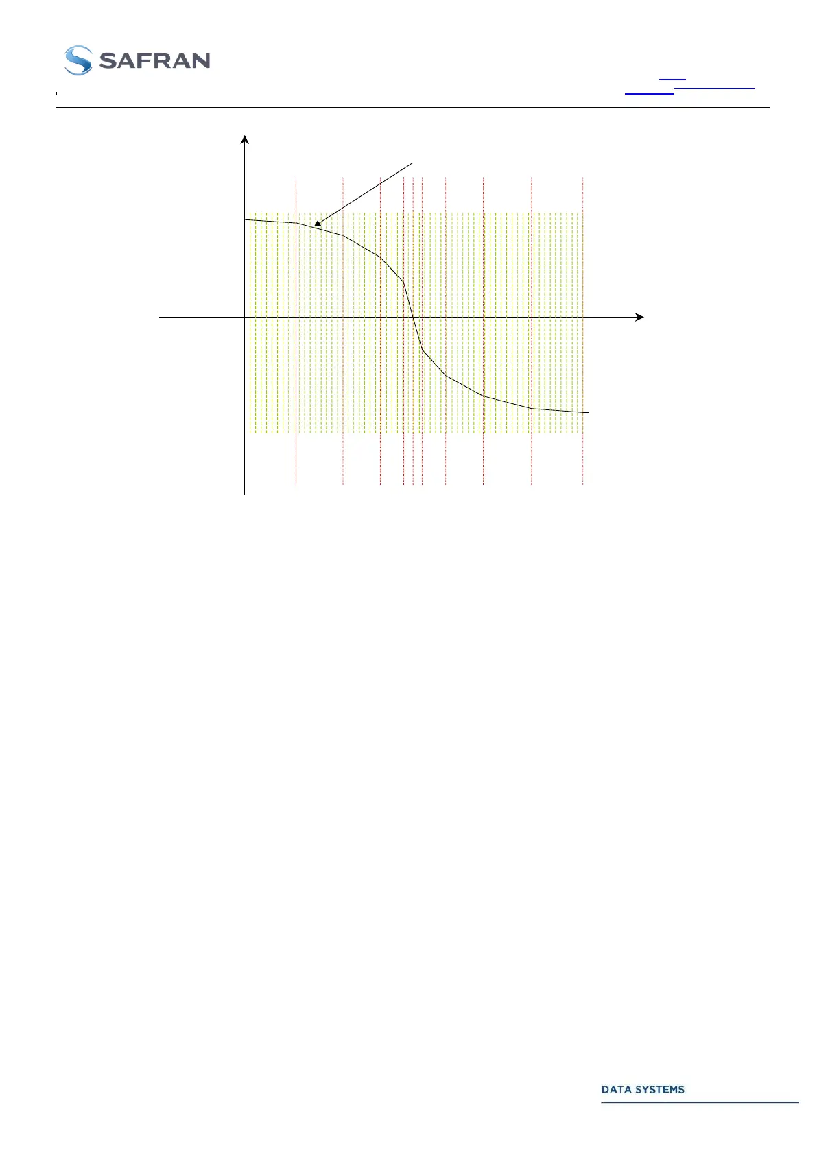
Frequency
Time
F0 = forward
programmed frequency
IRIG-B Time reference
(Initialization request)
Frequency curve reconstructed by the CORTEX s/w from the
compensation table and re-sampled (green dotted lines) every 13 ms
Figure 87: Doppler Compensation from Ephemeris Files

Table of Contents