EasyManua.ls Logo

Safran CORTEX CRT Quantum - Page 220

Safran CORTEX CRT Quantum
346 pages
Print Icon
To Next Page IconTo Next Page
To Next Page IconTo Next Page
To Previous Page IconTo Previous Page
To Previous Page IconTo Previous Page
Loading...
COMMAND RANGING & TELEMETRY UNIT CORTEX
CRT QUANTUM USER'S MANUAL
Ref. DTU 100042
Is.Rev. 5.17
Date: Dec.
03, 2021Sept. 30, 2021
© Safran Data Systems
This document is the property of Safran Data Systems.
It cannot be duplicated or distributed without expressed written consent.
Page 140
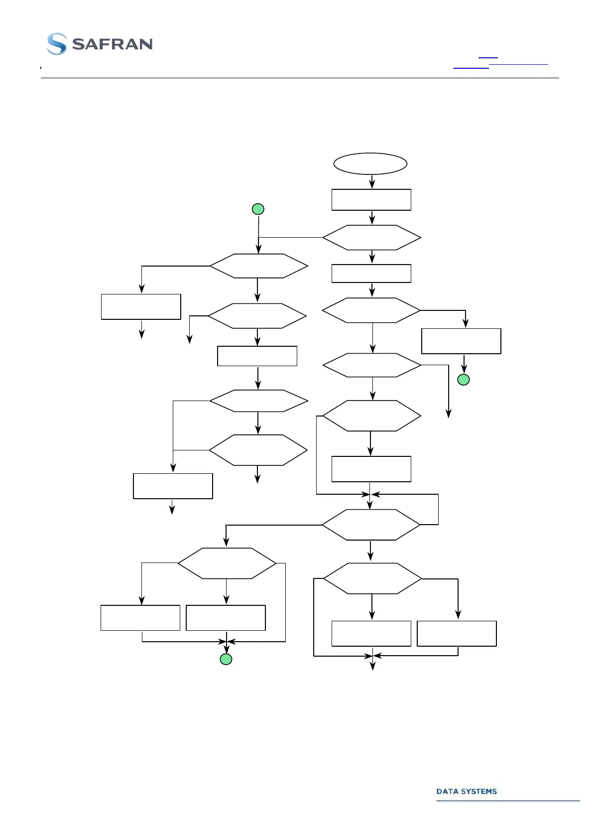
Proper transmission of a TC message can be checked by means of two flags (named CMM1 and CMM2) in the
telemetry flow. CMM1 flag, when ON, indicates that the on-board RF receiver is locked onto the carrier and that
the TC preamble can be uplinked. CMM2 flag, when ON, indicates that the on-board bit synchronizer is locked
and that the TC message can be transmitted.
IF CARRIER ON ?
SEND PREAMBLE
TO THE TCU (1)
Y
N
TCU IDLING ?
Y
N
SEND TC MESSAGE
TO THE TCU (1)
SEND TC MESSAGE
TO THE TCU (1)
SEND « CARRIER ON »
COMMAND TO THE IFM
CMM 1 ALREADY TRUE ?
SWEEPING MODE
= AUTO or AUTO + RZ ?
SEND « SWEEPING ON »
COMMAND TO THE IFM
CMM 1 TRUE ?
SWEEPING MODE ?
SEND « RZ »
COMMAND TO THE IFM
SEND « SWEEPING OFF »
COMMAND TO THE IFM
1
SWEEPING MODE ?
SEND « RZ »
COMMAND TO THE IFM
SEND « SWEEPING OFF »
COMMAND TO THE IFM
WAIT FOR IF CARRIER
SET TIME EXPIRY
1
Y
AUTO + RZ
N
N
CMM 2 CHECK ON ?
N
CMM 2 TRUE ?
Y
Y
N
IF CARRIER SET TIME EXPIRED
(1) Idling restarts automatically upon preamble
or TC message transmission by TCU.
If preamble length = 0 the TC is transmitted
even if CMM2 is not true.
Y
N
MEMORIZE
IF CARRIER STATE
Carrier forced to ON
TC REQUEST
PROCESSING
Sweeping OFF or forced to ON
EXIT On-board receiver unlocked : DISCARD TC
EXIT
EXIT
EXIT
1
On-board bit sync. unlocked :
DISCARD TC
EXIT : the IF carrier is automatically set to the initial state
AUTO
AUTO + RZAUTO
ELSE
ELSE
N
CMM1 CHECK ON ?
Y
EXIT
Protocol anomaly
DISCARD TC
Y
CMM2 CHECK ON &
CMM2 ALREADY TRUE ?
EXIT
Protocol anomaly
DISCARD TC
Y
N
Figure 74: Satellite Telecommanding Protocol with CLCW Check & Carrier Sweeping

Table of Contents