EasyManua.ls Logo

Safran CORTEX CRT Quantum - Page 221

Safran CORTEX CRT Quantum
346 pages
Print Icon
To Next Page IconTo Next Page
To Next Page IconTo Next Page
To Previous Page IconTo Previous Page
To Previous Page IconTo Previous Page
Loading...
COMMAND RANGING & TELEMETRY UNIT CORTEX
CRT QUANTUM USER'S MANUAL
Ref. DTU 100042
Is.Rev. 5.17
Date: Dec.
03, 2021Sept. 30, 2021
© Safran Data Systems
This document is the property of Safran Data Systems.
It cannot be duplicated or distributed without expressed written consent.
Page 141
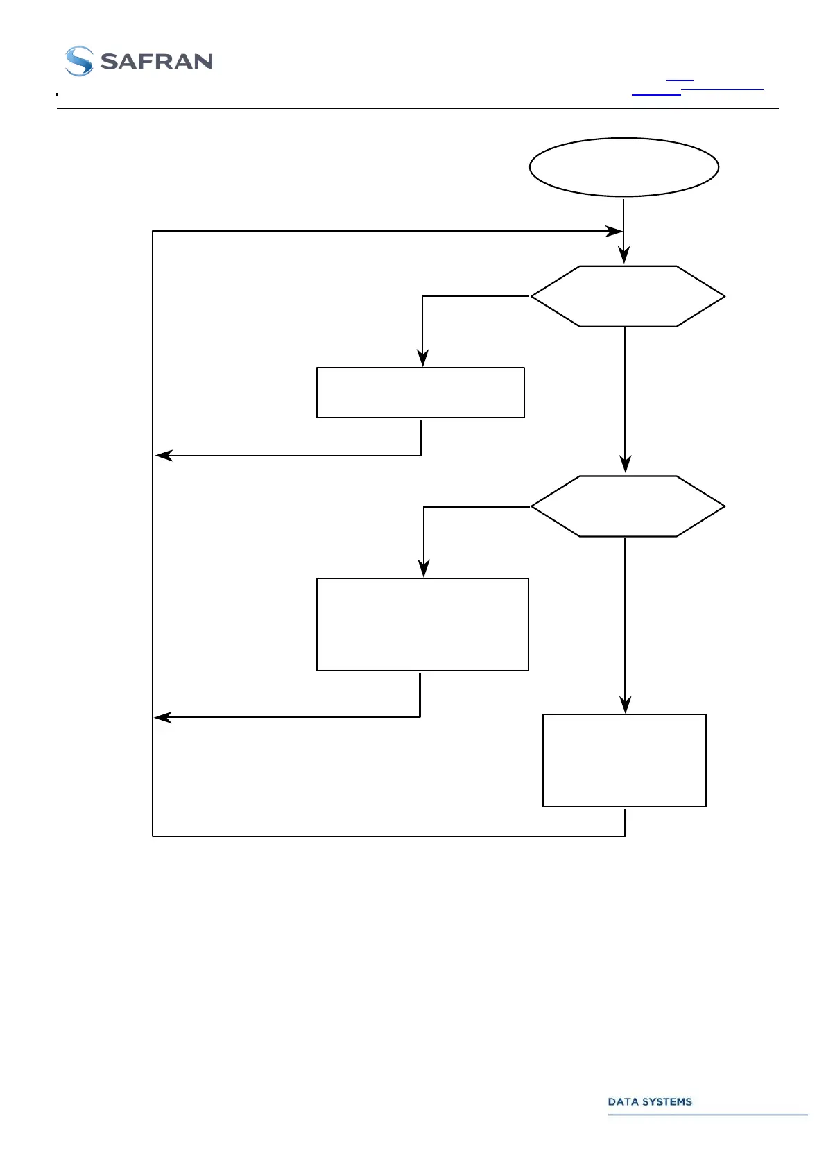
SWEEPING MODE
ON THE IFM
SWEEPING OFF
REQUIRED ?
STOP SWEEPING
Y
N
START SWEEPING
Add Offset to programmed frequency
Always start sweeping toward
highest frequency, even if IFM
returning to F
0
in other direction
SWEEPING ON
REQUIRED ?
N
Y
(RZ REQUIRED)
Sweep back to Fo
(see RZ command
description above)
Figure 75: Configuring the Sweeping Mode on the IFM

Table of Contents