EasyManua.ls Logo

Ricoh B291 - Environment; Machine Level

Ricoh B291
908 pages
Print Icon
To Next Page IconTo Next Page
To Next Page IconTo Next Page
To Previous Page IconTo Previous Page
To Previous Page IconTo Previous Page
Loading...
INSTALLATION REQUIREMENTS
B291/B295/B296/B297 SM
1-2
1.1.1 ENVIRONMENT
1. Temperature Range:
10 °C to 32 °C (50 °F to 90 °F)
2. Humidity Range:
15% to 80% RH
3. Ambient Illumination:
Less than 1,500 lux (do not expose to direct
sunlight.)
4. Ventilation:
Room air should turn at least 30 m
3
/hr/person
5. Ambient Dust:
Less than 0.10 mg/m
3
(2.7 x 10/6 oz/yd
3
)
6. Avoid areas exposed to sudden temperature changes:
1) Areas directly exposed to cool air from an air conditioner.
2) Areas directly exposed to heat from a heater.
7. Do not place the machine where it will be exposed to corrosive gases.
8. Do not install the machine at any location over 2,000 m (6,500 ft.) above sea
level.
9. Place the main machine on a strong and level base. Inclination on any side
should be no more than 5 mm (0.2").
10. Do not place the machine where it may be subjected to strong vibrations.
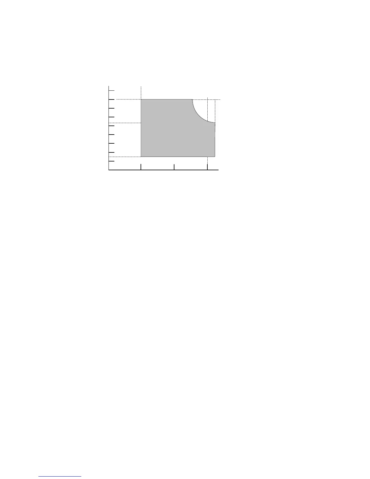
1.1.2 MACHINE LEVEL
Front to back: Within 5 mm (0.2") of level
Right to left: Within 5 mm (0.2") of level
90
80
70
60
50
40
30
20
10
10 20 30
%Rh
27°C (80.6°F) 80%
32°C (89.6°F) 54%
32°C (89.6°F) 15%
10°C (50°F) 15%
Temperature
Operation
Range
B291I900.WMF
CÓPIA NÃO CONTROLADA
CÓPIA NÃO CONTROLADA

Table of Contents

Related product manuals