EasyManua.ls Logo

Siemens SINAMICS S120 - Page 767

Siemens SINAMICS S120
826 pages
To Next Page IconTo Next Page
To Next Page IconTo Next Page
To Previous Page IconTo Previous Page
To Previous Page IconTo Previous Page
Loading...
Cabinet design and EMC Booksize
12.12 Power losses of the components
Booksize Power Units
Manual, (GH2), 07/2016, 6SL3097-4AC00-0BP8
767
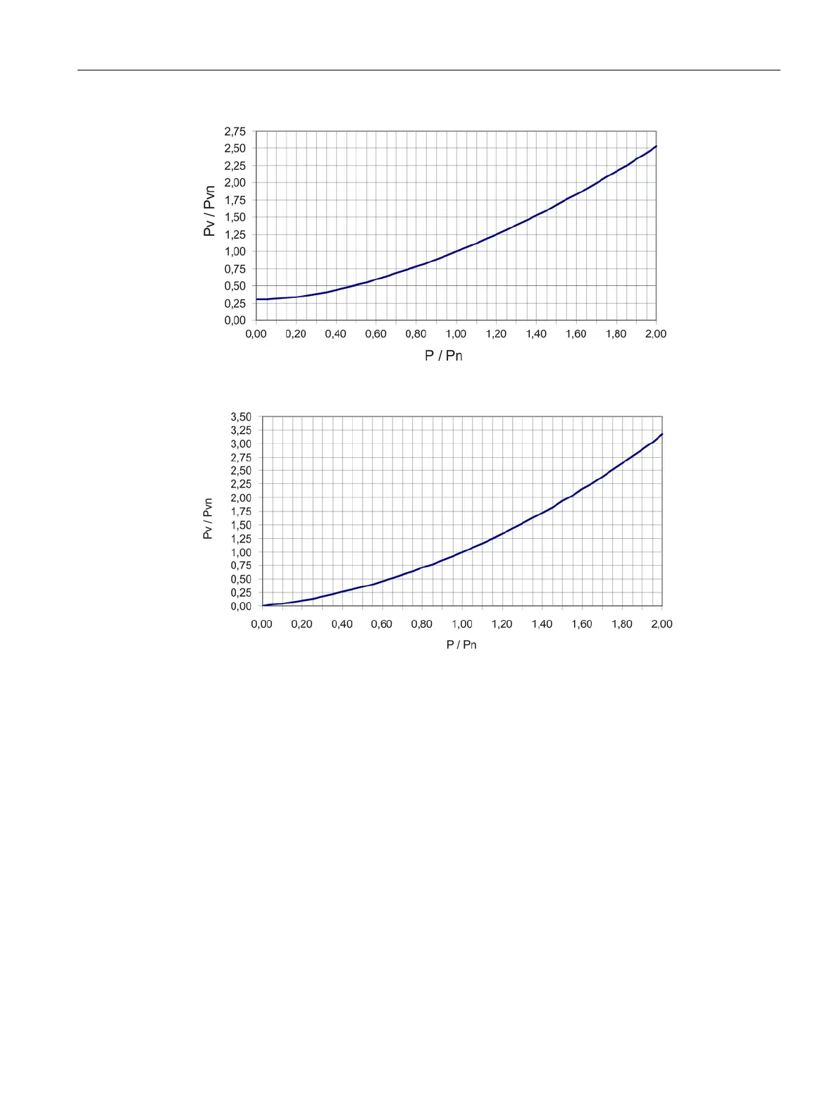
Figure 12-54 Losses in the partial load range for line reactors for Smart Line Modules
Figure 12-55 Losses in the partial load range for line reactors for Basic Line Modules

Table of Contents

Other manuals for Siemens SINAMICS S120

Related product manuals