EasyManua.ls Logo

3Com 5500-EI PWR - Display Qos Cos-Local-Precedence-Map

3Com 5500-EI PWR
1314 pages
Print Icon
To Next Page IconTo Next Page
To Next Page IconTo Next Page
To Previous Page IconTo Previous Page
To Previous Page IconTo Previous Page
Loading...
1-3
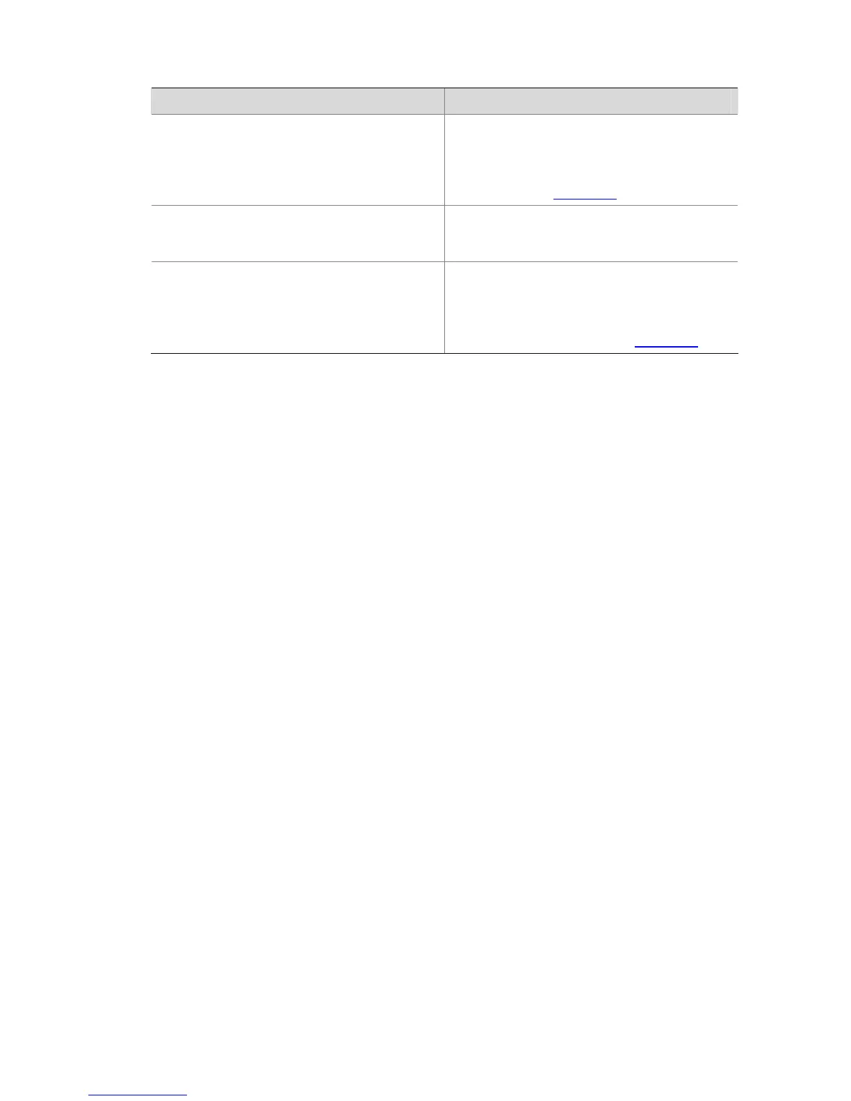
Field Description
IP-Precedence: routine(0)
An IP precedence has been assigned to
OSPF packets. The assigned IP
precedence is 0, that is, routine in words.
For information about the IP precedence
range, refer to
Table 1-6.
Protocol: telnet
Indicate that a priority has been set for
Telnet packets with the protocol-priority
command.
DSCP: be(0)
A DSCP precedence has been assigned to
Telnet packets. The assigned value is 0,
that is, be in words.
For information about the DSCP
precedence range, refer to
Table 1-7.
display qos cos-local-precedence-map
Syntax
display qos cos-local-precedence-map
View
Any view
Parameters
None
Description
Use the display qos cos-local-precedence-map command to display the 802.1p
priority-to-local precedence mapping, illustrated by an 802.1p priority-to-local precedence
mapping table as shown in the following example.
After a packet enters a switch, the switch sets the 802.1p priority and local precedence for
the packet according to its own capability and the corresponding rules. The local
precedence is locally significant precedence that the switch assigns to the packet. It
corresponds to an output queue. Packets with higher local precedence values take
precedence over those with lower precedence values and will be processed preferentially.
Related commands: qos cos-local-precedence-map.
Examples
# Display the 802.1p priority-to-local precedence mapping.
<Sysname> display qos cos-local-precedence-map
cos-local-precedence-map:
cos(802.1p) : 0 1 2 3 4 5 6 7
------------------------------------------------------------------------

Table of Contents

Other manuals for 3Com 5500-EI PWR

Related product manuals