EasyManua.ls Logo

GE Vivid P3

GE Vivid P3
336 pages
To Next Page IconTo Next Page
To Next Page IconTo Next Page
To Previous Page IconTo Previous Page
To Previous Page IconTo Previous Page
Loading...
GE HEALTHCARE PROPRIETARY TO GE
D
IRECTION 55344303-100, REVISION 3 VIVID P3 SERVICE MANUAL
Chapter 7 Diagnostics/Troubleshooting 7-11
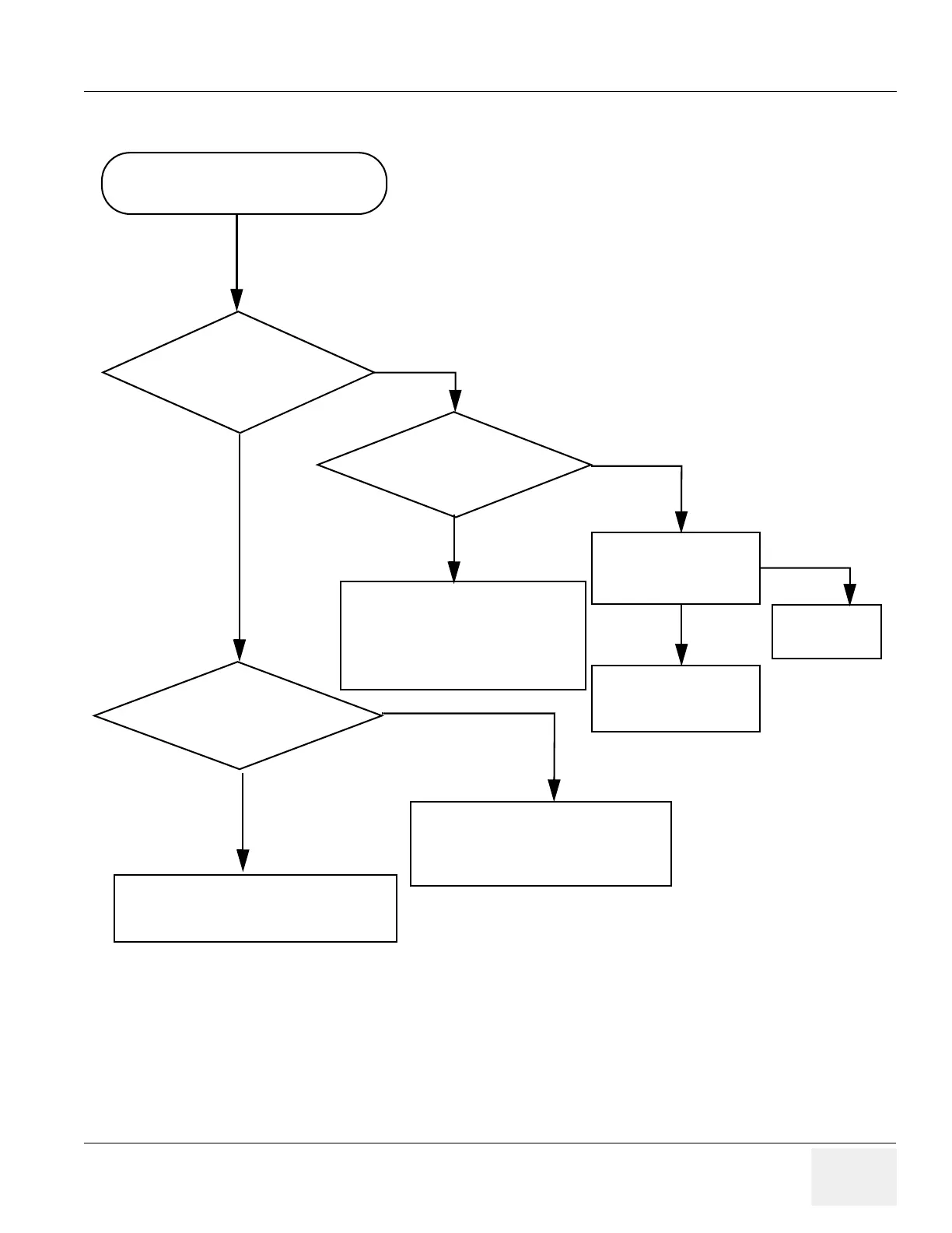
7-6-1-1 System Doesn’t Boot (cont’d)
Figure 7-7 System Doesn’t Boot (cont’d)
System doesn’t boot! (con’d)
Is “VIVID P3” starting to
display on the LCD?
Go to Scan Procedure section.
NO
Reboot the system and Reload
latest system & Application
software with DVD-RW.
YES
Is BIOS screen displayed
on the LCD?
NO
Is BIOS screen displayed
on external Monitor?
NO
Check flat Ribbon
cable B/W DCK & RPI
YES
1) Check LCD brightness.
2) Check LCD Power & Signal
Cable.
3) Check LCD & Replace if found
defective else replace MST+DCK.
YES
YES
Reboot system, if still
can’t boot up, please
replace TMST assy.
NO
Replace
TMST PWA.

Table of Contents

Other manuals for GE Vivid P3

Related product manuals