EasyManua.ls Logo

GE Vivid P3

GE Vivid P3
336 pages
To Next Page IconTo Next Page
To Next Page IconTo Next Page
To Previous Page IconTo Previous Page
To Previous Page IconTo Previous Page
Loading...
GE HEALTHCARE PROPRIETARY TO GE
D
IRECTION 55344303-100, REVISION 3 VIVID P3 SERVICE MANUAL
7-12 Section 7-6 - Troubleshooting
7-6-1-2 B Mode Low Sensitivity
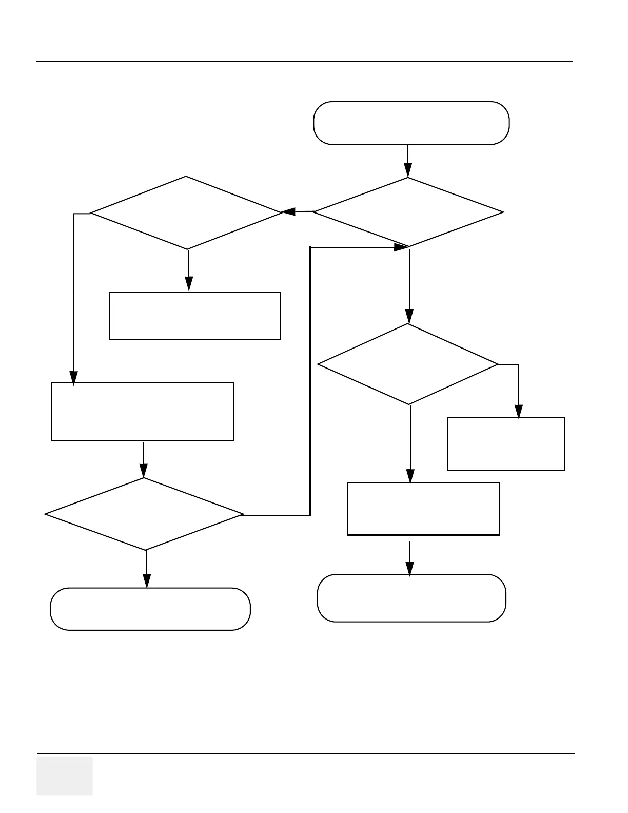
Figure 7-8 B Mode Low Sensitivity
B Mode sensitivity is low!
YES
Is low sensitivity for all
types of probe?
YES
check HV voltages on the
Service Diagnostics?
Check the HV power
supply unit on TX64,
refer to error code list.
NO
Run Service diagnostics and
replace defective board
Replace the probe with low
sensitivity.
NO
Is Image sensitivity
recovered after changing
probe?
YES
Refer to Ch.6 Service Adjustment to
adjust LCD brightness.
NO
END
YES
Reload application SW is
OK?
YES
END
NO

Table of Contents

Other manuals for GE Vivid P3

Related product manuals