EasyManua.ls Logo

GE Vivid P3

GE Vivid P3
336 pages
To Next Page IconTo Next Page
To Next Page IconTo Next Page
To Previous Page IconTo Previous Page
To Previous Page IconTo Previous Page
Loading...
GE HEALTHCARE PROPRIETARY TO GE
D
IRECTION 55344303-100, REVISION 3 VIVID P3 SERVICE MANUAL
Chapter 7 Diagnostics/Troubleshooting 7-19
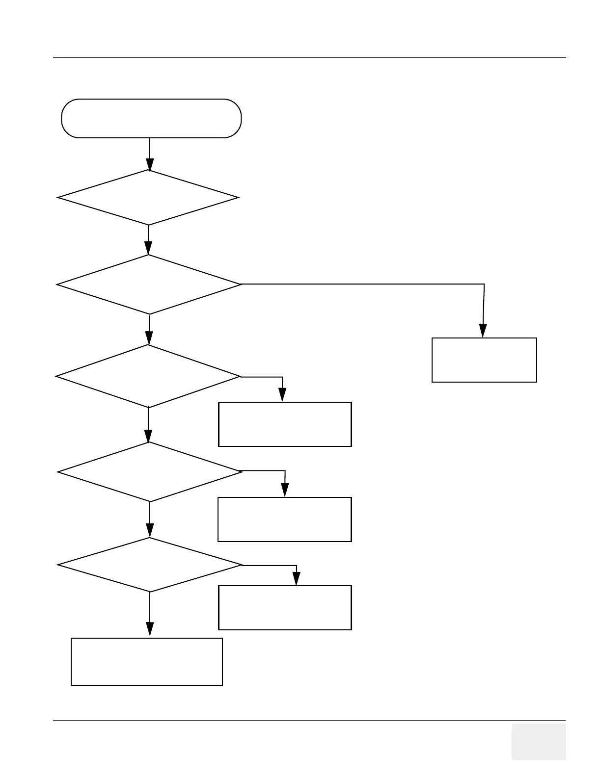
7-6-1-8 Scan Procedure (cont’d)
Figure 7-15 Unable to scan (cont’d)
Unable to scan! (con’d)
Increase the Gain.
Is TX64 ok?
Restart the system.
YES
NO
NO
YES
Is Flex cables ok?
Replace Flex cables.
Restart the system.
YES
Is there back ground
noise?
NO
Replace TX64 board.
Is TMST2TX ok?
YES
YES
NO
Replace TMST2TX
board.

Table of Contents

Other manuals for GE Vivid P3

Related product manuals