EasyManua.ls Logo

Hisun HS800UTV - Troubleshooting

Hisun HS800UTV
362 pages
Print Icon
To Next Page IconTo Next Page
To Next Page IconTo Next Page
To Previous Page IconTo Previous Page
To Previous Page IconTo Previous Page
Loading...
ELECTRICAL COMPONENTS
- 306 -
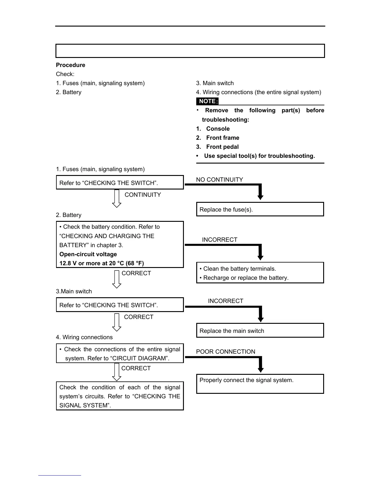
Procedure
Check:
1. Fuses (main, signaling system)
2. Battery
1. Fuses (main, signaling system)
Refer to “CHECKING THE SWITCH”.
CONTINUITY
2. Battery
• Check the battery condition. Refer to
“CHECKING AND CHARGING THE
BATTERY” in chapter 3.
Open-circuit voltage
12.8 V or more at 20 °C (68 °F)
CORRECT
3.Main switch
Refer to “CHECKING THE SWITCH”.
CORRECT
4. Wiring connections
• Check the connections of the entire signal
system. Refer to “CIRCUIT DIAGRAM”.
CORRECT
Check the condition of each of the signal
system’s circuits. Refer to “CHECKING THE
SIGNAL SYSTEM”.
3. Main switch
4. Wiring connections (the entire signal system)
NOTE:
Remove the following part(s) before
troubleshooting:
1. Console
2. Front frame
3. Front pedal
Use special tool(s) for troubleshooting.
NO CONTINUITY
Replace the fuse(s).
INCORRECT
• Clean the battery terminals.
• Recharge or replace the battery.
INCORRECT
Replace the main switch
POOR CONNECTION
Properly connect the signal system.
TROUBLESHOOTING
IF A BRAKE LIGHT, AN INDICATOR LIGHT, OR THE WARNING LIGHT FAILS TO COME ON:

Table of Contents

Related product manuals