EasyManua.ls Logo

Keysight E4980AL - Page 190

Keysight E4980AL
529 pages
Print Icon
To Next Page IconTo Next Page
To Next Page IconTo Next Page
To Previous Page IconTo Previous Page
To Previous Page IconTo Previous Page
Loading...
190 Keysight E4980A/AL Precision LCR Meter
Measurement Procedure and Examples
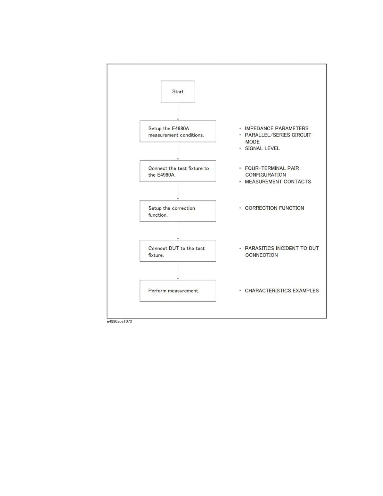
Basic Measurement Procedure
7-
Figure 7-1 Basic Measurement Procedure

Table of Contents

Other manuals for Keysight E4980AL

Related product manuals