EasyManua.ls Logo

Sony CBK-HD01 - Page 25

Sony CBK-HD01
300 pages
Print Icon
To Next Page IconTo Next Page
To Next Page IconTo Next Page
To Previous Page IconTo Previous Page
To Previous Page IconTo Previous Page
Loading...
1-15
PDW-700/V1 (E)
2. LIMITER characteristics: Two to four types of
characteristics can be selected depending on each
headroom.
3. OUT_PUT_LIMITER characteristics: Performs
LIMITER processing on the PB and EE_OUT. ON/
OFF.
4. Turns on and off the HPF (67 Hz) and LPF (15 KHz;
_24 dB). (Runs automatically during front
microphone selection)
5. Performs gain control when CH1 and CH2 are on
MANUAL status. (VR-MAX: +12 dB)
6. CH3 and CH4 turn on and off the AUTO operation.
7. Internal SG: Four types of 1 KHz/_12, _16, _18,
_20 dBFS.
8. Recording error correction: +0 to _2 dB (started from
the terminal)
9. Playback error correction: +0 to _2 dB (started from
the terminal)
10. INPUT delay amount: Performs delay processing to
match the VIDEO and AUDIO phases of each CH.
Description of each part
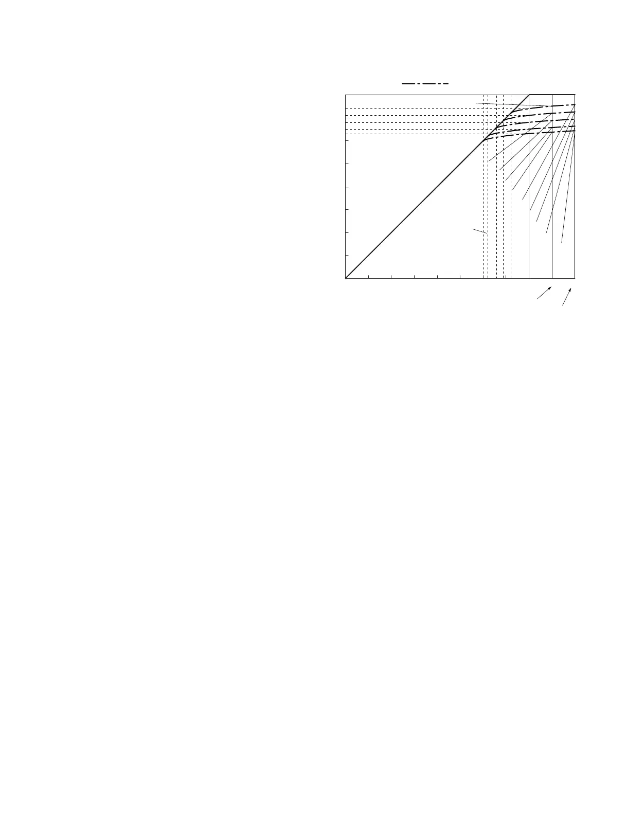
1. DIGITAL AUTO_AMP Processing
Selects the AUTO level from the menu.
AU AUTO SPEC : _6 dB/_9 dB/_12 dB/_15 dB/_17 dB
_6 dB : Linear operation until approx. _9 dBFS. Approx.
_6 dBFS at Max.
_9 dB : Linear operation until approx. _12 dBFS.
Approx. _9 dBFS at Max.
_12 dB : Linear operation until approx. _15 dBFS.
Approx. _12 dBFS at Max.
_15 dB : Linear operation until approx. _18 dBFS.
Approx. _15 dBFS at Max.
_17 dB : Linear operation until approx. _20 dBFS.
Approx. _17 dBFS at Max.
2. DIGITAL In Put LIMITER characteristics (only
during MANUAL)
Selects the LIMITER level from the menu.
AU AUTO SPEC : _6 dB/_9 dB /_12 dB/_15 dB/_17 dB
_6 dB : Linear operation until approx. _9 dBFS. Approx.
_6 dBFS at Max.
_9 dB : Linear operation until approx. _12 dBFS.
Approx. _9 dBFS at Max.
_12 dB : Linear operation until approx. _15 dBFS.
Approx. _12 dBFS at Max.
_15 dB : Linear operation until approx. _18 dBFS.
Approx. _15 dBFS at Max.
_17 dB : Linear operation until approx. _20 dBFS.
Approx. _17 dBFS at Max.
AGC/LIM SPECIFICATION
0
_
10
_
20
_
40
_
30
_
50
_
60
_
70
0 +10 +20
_
10
_
20
_
30
_
40
_
50
_
60
_
70
_6dBFS
_9dBFS
_15dBFS
_12dBFS
_17dBFS
INPUT [dBFS]
OUTOPUT [dBFS]
_8.1
dBFS
_11.4
dBFS
_14.6
dBFS
_17.9
dBFS
_20.0
dBFS
Output level at 0dBFS input.
Subthreshold level
_5.4dBFS max
_8.4dBFS max
_11.4dBFS max
_14.4dBFS max
_16.4dBFS max
_4.8dBFS max
_7.8dBFS max
_10.8dBFS max
_13.8dBFS max
_15.8dBFS max
0dBFS
Features of the AGC/LIM OFF.
: Features in common of the MIC/LINE input.
Max input level
of the LINE input.
Max input level
of the MIC input.
3. DIGITAL Out Put LIMITER characteristics
Turn the LIMITER ON/OFF from the menu.
ON : Linear operation until approx. _12 dBFS, approx.
_11 dBFS (at Max.)
OFF : Turn off LIMITER at 0 dBFS.
4. Gain control during MANUAL
The A/D converted VR value is converted into a DSP
multiplication value at FP_CPU and synchronized with the
VIDEO1 frame, then handed over to the CPU to set in the
register of the DSP. The maximum variable for volume is
+12 dB. (_ to +12 dB)
5. Recording error correction
For error correction on the A/D converter for audio, the
multiplication value is corrected in the range +0 to _2 dB.
Starts from the terminal with the standard signal level
applied. (fully automatic)
6. Playback error correction
For error correction on the D/A converter for audio, the
multiplication value is corrected in the range +0 to _2 dB.
The correction is performed after the playback error
correction is completed. Starts from the terminal. (semi-
automatic)
The internal SG is used as the standard signal, and the
inside panel for each LEVEL_VR is turned and fine-tuned.

Table of Contents

Related product manuals