EasyManua.ls Logo

Agilent Technologies E6000C - Distance Offset Error

Agilent Technologies E6000C
322 pages
Print Icon
To Next Page IconTo Next Page
To Next Page IconTo Next Page
To Previous Page IconTo Previous Page
To Previous Page IconTo Previous Page
Loading...
Definition of Terms / Measurement Conditions CSpecifications
E6000C Mini-OTDR Users Guide, E0302
195
S
L
= distance scale error
L
S
= distance sampling error
NOTE The distance uncertainty does not include the uncertainty
of the
group of the fiber under test, because the OTDR
measures transit times and calculates distances by
division by the user-defined fiber’s group refractive index.
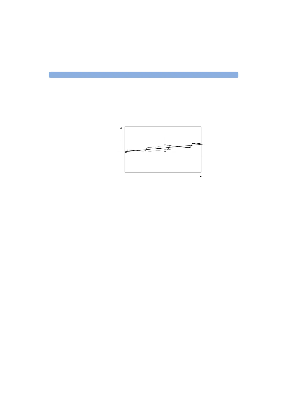
Distance offset error
The displayed location of the OTDR’s front panel
connector on the instrument’s distance scale, in meters.
Symbol
L
0
. See Figure 3.
Condition: A possible influence from finite distance
sample spacing is excluded.
Location L
0
0
L - L
otdr
Distance
Offset Error
(L
0
)
Distance
sampling error
L
S
)
Average slope =
distance scale
error (S
L
)
Artisan Technology Group - Quality Instrumentation ... Guaranteed | (888) 88-SOURCE | www.artisantg.com

Table of Contents

Related product manuals