EasyManua.ls Logo

Canon CLC5000 - Auto Gradation Correction (PASCAL); Operations (Full Correction); Outline

Canon CLC5000
757 pages
Print Icon
To Next Page IconTo Next Page
To Next Page IconTo Next Page
To Previous Page IconTo Previous Page
To Previous Page IconTo Previous Page
Loading...
2-37
CHAPTER 2 NEW FUNCTIONS
COPYRIGHT
©
2001 CANON INC. 2000 2000 2000 2000 CANON CLC5000 REV.0 JAN. 2001
4.3 Auto Gradation Correction (PASCAL)
4.3.1 Outline
The machine uses the following two types of auto gradation correction:
1. Full Correction
Corrects the solid areas using test print 1.
Corrects the halftone areas (400 lines, 80 lines) using test print 2.
Corrects the halftone areas (200/266 lines) using test print 3.
2. Quick Correction
Corrects the gradation areas (200/266 lines, 400 lines) using test print 4
4.3.2 Operations (full correction)
Full correction is executed under the following conditions:
For the high-density areas, if an appropriate level of density is not found.
For the halftone areas, they differ from the corresponding areas on the original.
The sequence of operations is as follows:
1) Select the following in user mode: auto gradation correction>full correction.
2) Generate Test Print 1.
3) Check to make sure that the generated test print is free of image faults, and have it read
by the machine. (If it has an image fault, perform the Basic Image Adjustment Proce-
dure.)
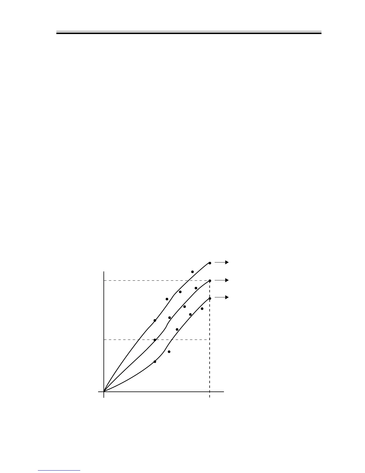
Using the image data collected by reading the test print output, the machine finds the
characteristics of the laser output and the image density (F02-403-01), and computes
a correction value for the contrast potential so that the ideal solid density may be ob-
tained.
F02-403-01
0
0 255
Max. (1.7)
Image density
Relatively foggy:
decrease the contrast potential.
Relatively low solid density:
increase the contrast potential.
Optimum
Laser output

Table of Contents

Related product manuals