EasyManua.ls Logo

Lifan 620 - Page 317

Lifan 620
364 pages
Print Icon
To Next Page IconTo Next Page
To Next Page IconTo Next Page
To Previous Page IconTo Previous Page
To Previous Page IconTo Previous Page
Loading...
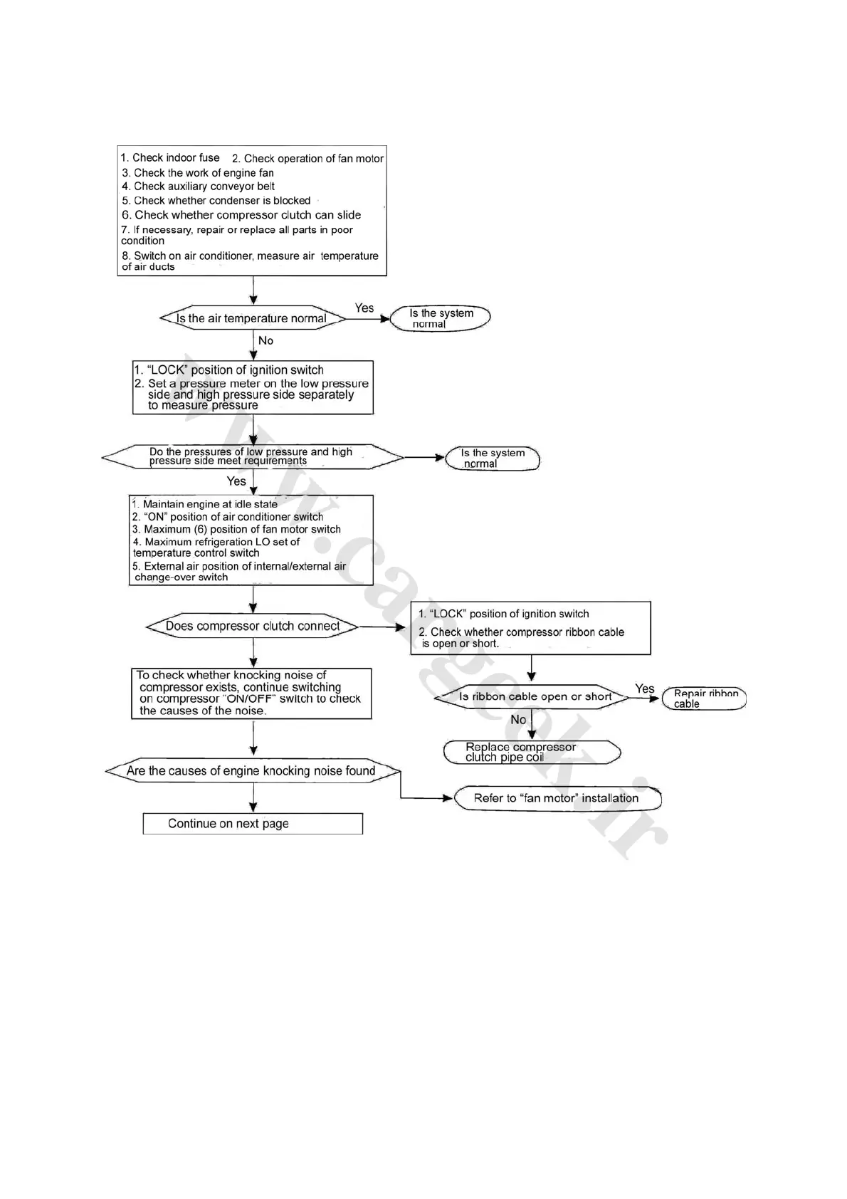
Figure 6-39
316
www.cargeek.ir
www.CarGeek.ir
www.cargeek.ir

Table of Contents

Related product manuals