EasyManua.ls Logo

Sel SEL-421 - Page 124

Sel SEL-421
704 pages
Print Icon
To Next Page IconTo Next Page
To Next Page IconTo Next Page
To Previous Page IconTo Previous Page
To Previous Page IconTo Previous Page
Loading...
R.1.82
SEL-421 Relay Reference Manual Date Code 20111215
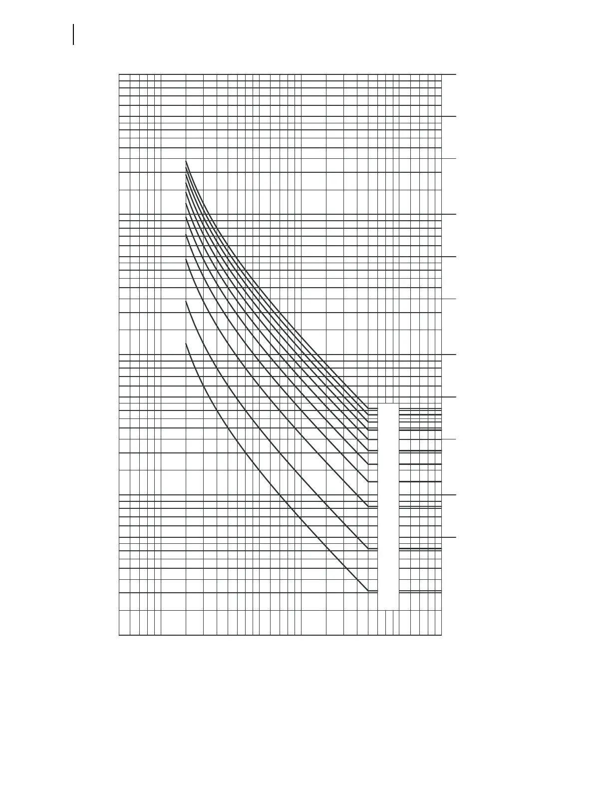
Protection Functions
Inverse-Time Overcurrent Elements
Figure 1.56 IEC Long-Time Inverse—C4
0.20
0.10
0.05
1.00
0.90
0.80
0.70
0.60
0.50
0.40
0.30
.7.6.5
.1
.9.8 1
.4
.2
.3
.5
.6
.8
.7
.9
1
2
3
4
5
7
6
423 765
10
98
40
20
30
70
50
60
80
90
100
50
9
8
10
20
30
40
300
200
100
80
60
70
90
1000
900
800
700
600
500
400
Time in Seconds
Multiples of Pickup
Time in Cycles 60 Hz (50 Hz)
30 (25)
60 (50)
150 (125)
300 (250)
3000 (2500)
600 (500)
1500 (1250)
6000 (5000)
15000 (12500)
30000 (25000)
60000 (50000)

Table of Contents

Other manuals for Sel SEL-421

Related product manuals