EasyManua.ls Logo

Dell Force10 C150 - Strict-Priority Queueing; Weighted Random Early Detection

Dell Force10 C150
1262 pages
To Next Page IconTo Next Page
To Next Page IconTo Next Page
To Previous Page IconTo Previous Page
To Previous Page IconTo Previous Page
Loading...
870 | Quality of Service
www.dell.com | support.dell.com
Strict-priority Queueing
You can assign strict-priority to one unicast queue, 1-7, using the command strict-priority from
CONFIGURATION mode. Strict-priority means that FTOS dequeues all packets from the assigned queue
before servicing any other queues.
The
strict-priority supersedes bandwidth-percentage an bandwidth-weight percentage configurations.
A queue with strict-priority can starve other queues in the same port-pipe.
On the E-Series, this configuration is applied to the queue on both ingress and egress.
Weighted Random Early Detection
Weighted Random Early Detection is supported only on platform e
Weighted Random Early Detection (WRED) congestion avoidance mechanism that drops packets to
prevent buffering resources from being consumed.
Traffic is a mixture of various kinds of packets. The rate at which some types of packets arrive might be
greater than others. In this case, the space on the BTM (ingress or egress) can be consumed by only one or
a few types of traffic, leaving no space for other types. A WRED profile can be applied to a policy-map so
that specified traffic can be prevented from consuming too much of the BTM resources.
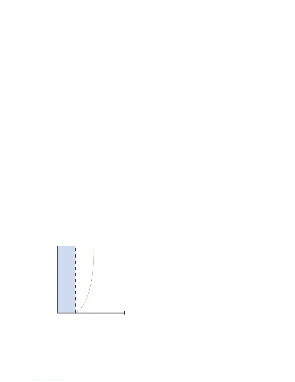
WRED uses a profile to specify minimum and maximum threshold values. The minimum threshold is the
allotted buffer space for specified traffic, for example 1000KB on egress. If the 1000KB is consumed,
packets will be dropped randomly at an exponential rate until the maximum threshold is reached
(Figure 41-13); this is the “early detection” part of WRED. If the maximum threshold—2000KB, for
example—is reached, then all incoming packets are dropped until less than 2000KB of buffer space is
consumed by the specified traffic.
Figure 41-13. Packet Drop Rate for WREDl
Min Max0KB
Buffer Space
Packet Drop Rate
0 Pckts
All Pckts
Total Buffer Spa
ce
Allotted Space
Early Warning
No Packets Buffered
fnC0045m
p

Table of Contents

Other manuals for Dell Force10 C150

Related product manuals