EasyManua.ls Logo

Sanyo SDNR - Operation Flow

Sanyo SDNR
256 pages
Print Icon
To Next Page IconTo Next Page
To Next Page IconTo Next Page
To Previous Page IconTo Previous Page
To Previous Page IconTo Previous Page
Loading...
4. Operation outline
4-2
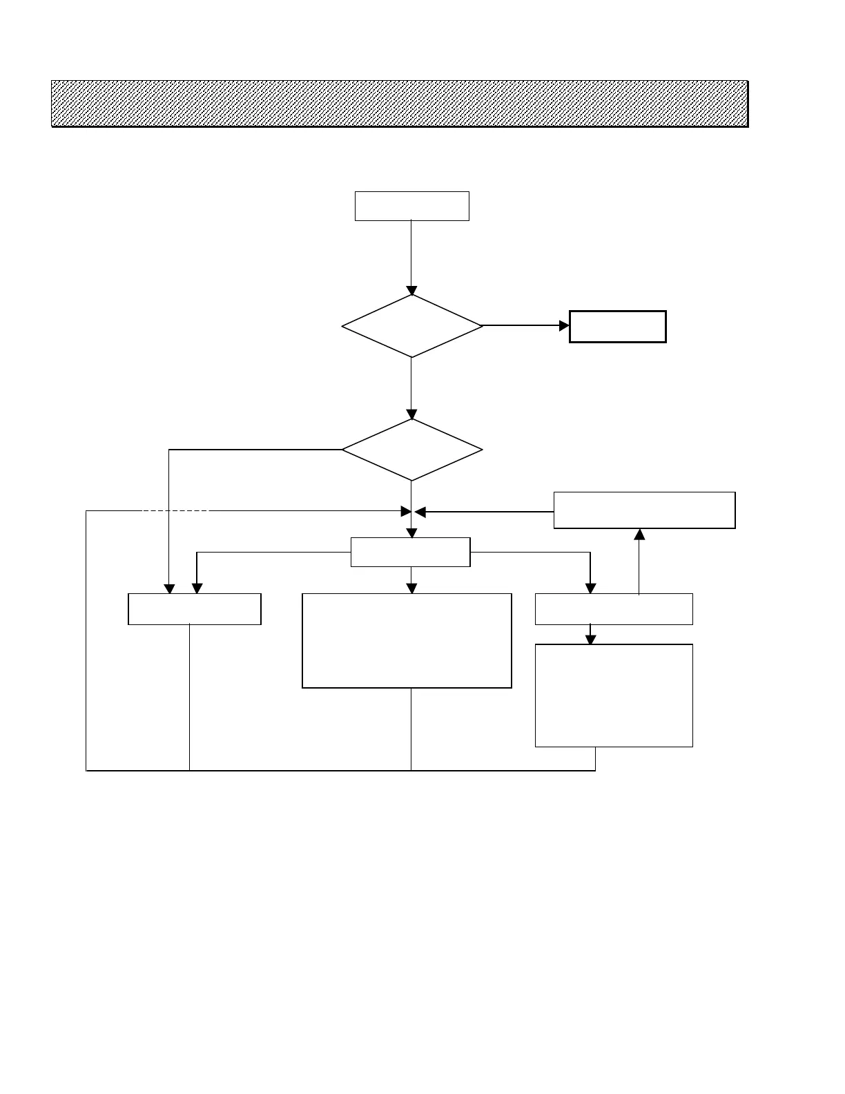
4.1 Operation flow
Operation flow from a start-up to the mode selection is shown as below.
No
Yes
Yes
No
Condition 1) NR is selected with initial mode SW.
Condition 2) DISPLAY PANEL was in DATA DISPLAY mode when power was turned off.
Figure 4.1-1 Operation flow
Condition 1)
Condition 2)
Power ON
MAIN MENU
・ MAINTENANCE
・ TORQUE CURVE
・ FASTENING SETTING
・ RESTART
DATA DISPLAY CONFIGURATION
PASSWORD
LANGUAGE
Receive Data Setting
Init Mode Setting
COM.CONFIGURATION
User Mode

Table of Contents