EasyManua.ls Logo

USTER HVI 900 - Page 210

USTER HVI 900
340 pages
Print Icon
To Next Page IconTo Next Page
To Next Page IconTo Next Page
To Previous Page IconTo Previous Page
To Previous Page IconTo Previous Page
Loading...
USTER®
HVI 900
Instruction Manual
Uster Technologies, Inc..
Chapter 9
Version 4.0 (1.99) HVI Applications - Page 9-10
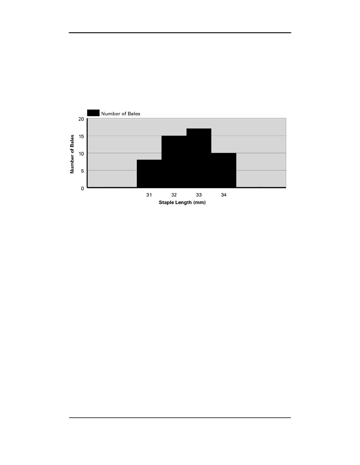
The Liverpool Cotton Association Circular reports world cotton by its
variety, grade, and staple length. Most spinning mills purchase cotton
by variety, staple length, and trash content – usually in that order of
importance. By segregating the bales within a variety based on staple
length, one gains vital knowledge of fiber length.
Segregation of these bales into length categories allows the cotton to be
evaluated prior to selling. This method increases the value added of
each lot by the merchant and provides the mills cotton with tighter
specification and less variation. The spinning mill can segregate lots by
length for purchase verification, which will allow them to channel the
various length groups for the appropriate cotton count or end product
specification.
The two examples below use the length data from the following graph.
The first example describes how a cotton merchant can utilize the data
and the second example describes how a mill buyer might use the data.

Table of Contents