EasyManua.ls Logo

ABB RED650 - Blocking; Design

ABB RED650
926 pages
Print Icon
To Next Page IconTo Next Page
To Next Page IconTo Next Page
To Previous Page IconTo Previous Page
To Previous Page IconTo Previous Page
Loading...
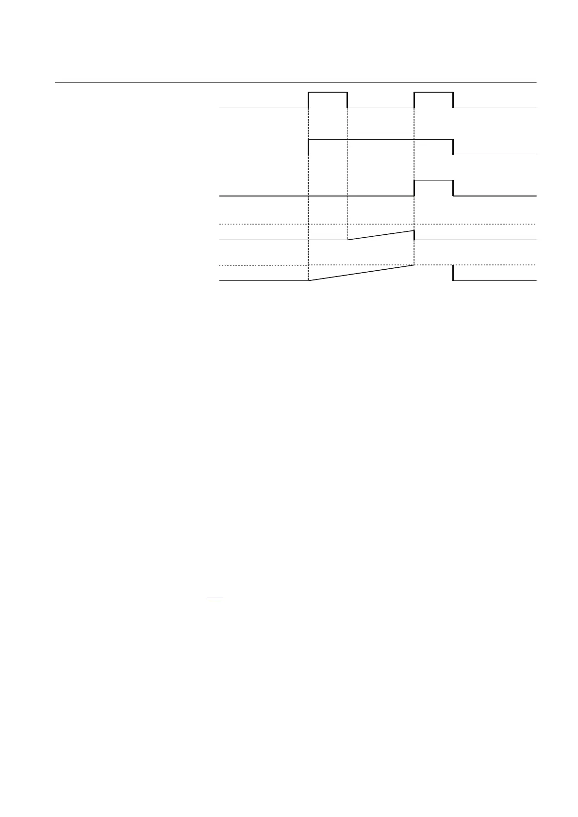
U1<
ST1
TR1
tReset1
t1
IEC10000040-3-en.vsd
IEC10000040 V3 EN-US
Figure 124: Example for Definite Time Delay stage 1 operation
9.3.7.3 Blocking
M15331-18 v7
It is possible to block two step residual overvoltage protection ROV2PTOV
partially or completely by binary input signals where:
BLOCK:
blocks all outputs
BLKTR1: blocks all trip outputs of step 1
BLKST1: blocks all start and trip outputs related to step 1
BLKTR2: blocks all trip outputs of step 2
BLKST2: blocks all start and trip inputs related to step 2
9.3.7.4 Design
M15331-32 v7
The voltage measuring elements continuously measure the residual voltage.
Recursive Fourier filters filter the input voltage signal for the rated frequency. The
residual voltage is compared to the set value, and is also used for the inverse time
characteristic integration. The design of the function is schematically described in
figure 125.
1MRK 505 394-UEN A Section 9
Voltage protection
Line differential protection RED650 2.2 IEC 263
Technical manual

Table of Contents

Other manuals for ABB RED650

Related product manuals