EasyManua.ls Logo

Keysight Technologies B2961A - Page 82

Keysight Technologies B2961A
364 pages
Print Icon
To Next Page IconTo Next Page
To Next Page IconTo Next Page
To Previous Page IconTo Previous Page
To Previous Page IconTo Previous Page
Loading...
2- 42 Keysight B2961A/B2962A SCPI Command Reference, Edition 6
Subsystem Command Summary
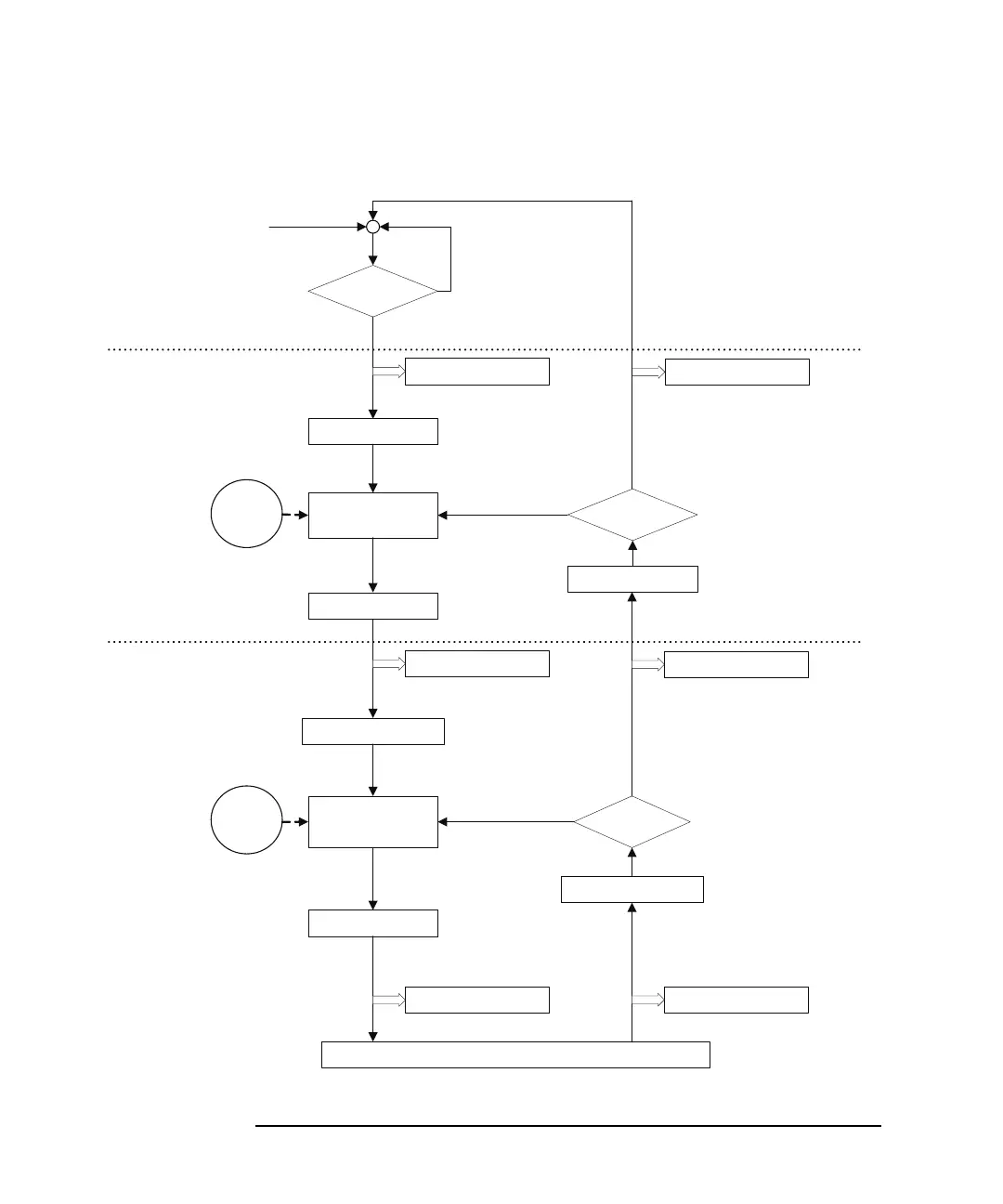
Controlling Source/Measure Trigger
Figure 2-10 B2961A/B2962A Trigger System
INITiated?
No
Yes
INITiate[:ACQ|:TRAN]
ABORt[:ACQ|:TRAN]
*RST
DCL
SDC
*RCL
Idle
ARM Layer
TRIGger Layer
Trigger output
Event
detector
TRIGger
events
TRIGger[:ACQ|:TRAN]:SOURce
AINT
BUS
TIMer
INT1-2
EXT1-14
LAN
TRIGger[:ACQ|:TRAN]:BYPass
OFF or ONCE
TRIGger[:ACQ|:TRAN]:IMMediate
TRIGger[:ACQ|:TRAN]:TIMer
TRIGger delay
Device action (TRANsient or ACQuire)
Trigger output
Last count?
TRIGger[:ACQ|:TRAN]:COUNt
1 to 100000
No
Trigger output
(*2) TRIGger[:ACQ|:TRAN]:TOUTput[:STATe]
OFF or ON
TRIGger[:ACQ|:TRAN]:TOUTput:SIGNal
INT1-2
EXT1-14
LAN
Trigger output
(*1) ARM[:ACQ|:TRAN]:TOUTput[:STATe]
OFF or ON
ARM[:ACQ|:TRAN]:TOUTput:SIGNal
INT1-2
EXT1-14
LAN
Yes
TRIGger[:ACQ|:TRAN]:DELay
TRIGger count = 0
TRIGger count + 1
Last count?
No
Yes
ARM[:ACQ|:TRAN]:COUNt
INFinity
1 to 100000
ARM count + 1
Event
detector
ARM
events
ARM[:ACQ|:TRAN]:SOURce
AINT
BUS
TIMer
INT1-2
EXT1-14
LAN
ARM[:ACQ|:TRAN]:BYPass
OFF or ONCE
ARM[:ACQ|:TRAN]:IMMediate
ARM[:ACQ|:TRAN]:TIMer
ARM delay
]:DELay
ARM[:ACQ|:TRAN
ARM count = 0
Trigger output
Trigger output
(*3) [SENSe|SOURce]:TOUTput[:STATe]
OFF or ON
[SENSe|SOURce]:TOUTput:SIGNal
INT1-2
EXT1-14
LAN
before ARM (*1)
after ARM (*1)
before Device action (*3) after Device action (*3)
before TRIGger (*2) after TRIGger (*2)
INFinity

Table of Contents

Other manuals for Keysight Technologies B2961A

Related product manuals