EasyManua.ls Logo

Europlex 3GS - Page 300

Default Icon
386 pages
Print Icon
To Next Page IconTo Next Page
To Next Page IconTo Next Page
To Previous Page IconTo Previous Page
To Previous Page IconTo Previous Page
Loading...
DM1200 Digital Communicator/Modem 12-12
#
#
#
#
#
#
#
#
#
#
#
#
###
#
#
#
#
#
#
HELP
HEL P
NO
NO
YES
YES
YES
P 2.2 CS 3655
ENGINEER CODE - - - - - -
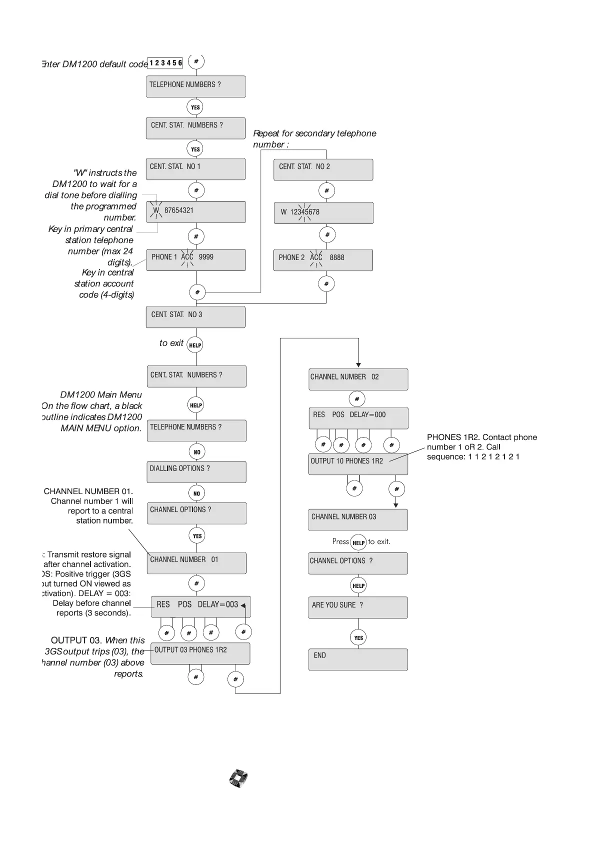
TELEPHONE NUMBERS ?
TELEPHONE NUMBERS ?
DIALLING OPTIONS ?
CHANNEL OPTIONS ?
CHANNEL NUMBER 01
CHANNEL NUMBER 02
RES POS DELAY=003
RES POS DELAY=000
OUTPUT 03 PHONES 1R2
OUTPUT 10 PHONES 1R2
CHANNEL NUMBER 03
CHANNEL OPTIONS ?
ARE YOU SURE ?
END
CENT. STAT. NUMBERS ?
CENT. STAT. NUMBERS ?
CENT. STAT. NO 1
CENT. STAT. NO 3
CENT. STAT. NO 2
W 87654321
W 12345678
PHONE 1 ACC 9999
PHONE 2 ACC 8888
1 2 3 4 5 6
Enter DM1200 default code
DM1200 Mai n Menu
On t h e f l ow char t , a bl ack
out line indicates DM1200
MAIN MENU option.
RES: Transmit restore signal
after channel activation.
POS: Positive trigger (3GS
output turned ON viewed as
activation). DELAY = 003:
Delay before channel
reports (3 seconds).
CHANNEL NUMBER 01.
Channel number 1 will
report to a central
station number.
OUTPUT 03.
Wh en t h i s
3GS output trips (03), the
channel number (03) above
reports.
PHONES 1R2. Contact phone
number 1 oR 2. Call
sequence: 1 1 2 1 2 1 2 1
"W" i nst ruct s the
DM1200 to wait for a
dial tone before diall ing
the programmed
number.
Key in pri mary cent ral
station telephone
number (max 24
digits).
Repeat for secondary telephone
number :
Press to exit.
Key i n c e n t r al
station account
code (4-digits)
HEL P
HEL P
YES
to exit
DM 1200

Table of Contents

Other manuals for Europlex 3GS

Related product manuals