EasyManua.ls Logo

Hisense AHM-080HCDSAA - Page 358

Hisense AHM-080HCDSAA
489 pages
Print Icon
To Next Page IconTo Next Page
To Next Page IconTo Next Page
To Previous Page IconTo Previous Page
To Previous Page IconTo Previous Page
Loading...
337
Troubleshooting
Alarm
Code
Abnormal Transmitting between Indoor and Outdoor Units
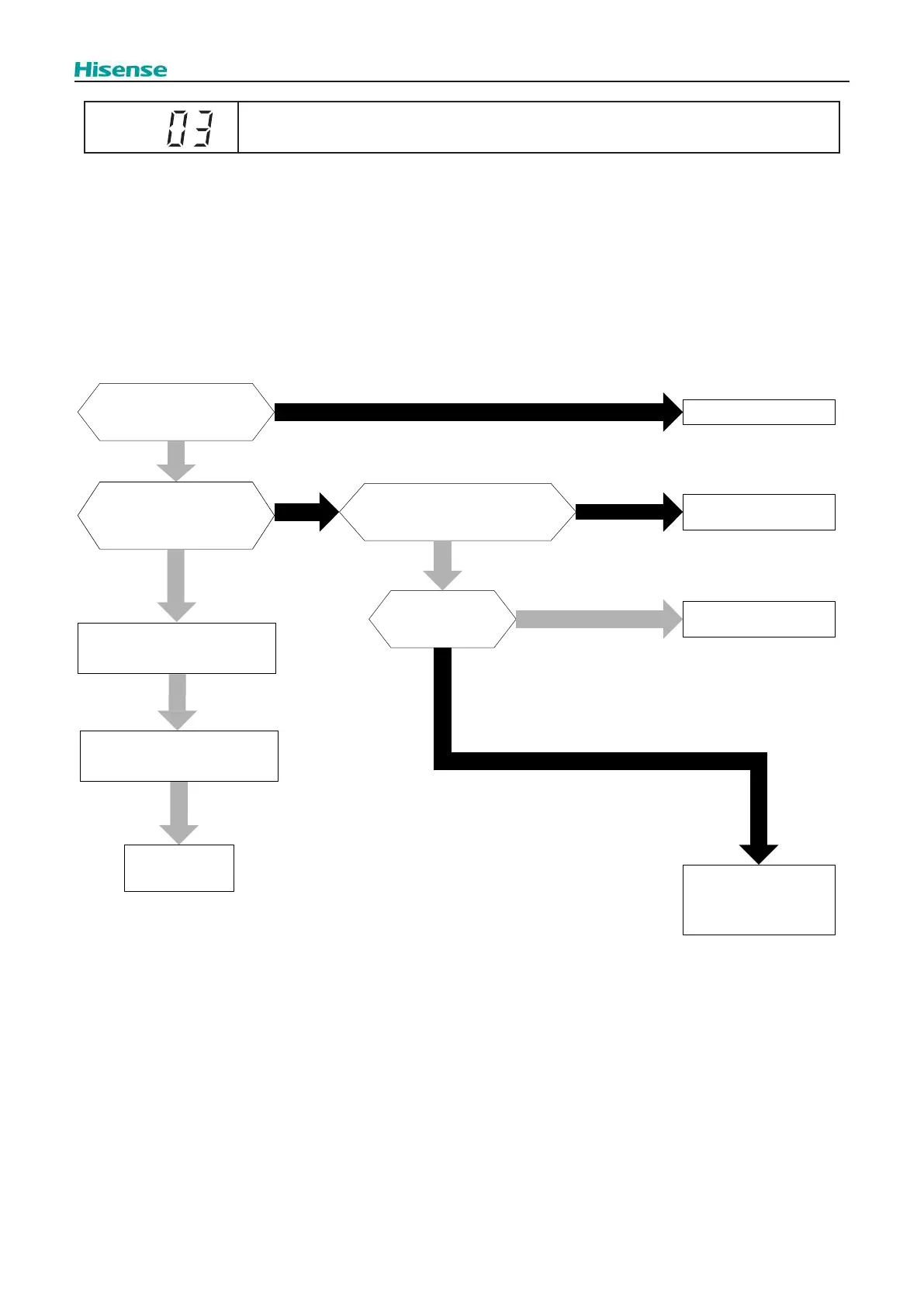
Alarm code is displayed on the master controller/ the 7-segment of O.U. display PCB / the 7-segment of I.U. PCB1.
This alarm is displayed when abnormal transmission between O.U.and I.U. is maintained for three minutes after
the normal transmission.Also, abnormal transmission between O.U.and I.U.is maintained for 30 seconds after the
micro-computer is automatically reset.
The alarm is displayed when the abnormal transmission is maintained for 30 seconds from the starting of the outdoor
unit.
Investigate the cause of the overcurrent and take the necessary action when the fuses are blown out or the breaker for
the outdoor unit is activated.
Is DSW5-1P
(Terminating Resistance)
on O.U. display PCB ON?
Set it correctly
Is
LED1(red) on
O.U. display PCB
ON?
Yes
Is 220~240V between L and
N for Outdoor unit
Check power source for
outdoor unit.
Does the EFR1
on O.U. main PCB
blow out?
Replace O.U. main
PCB
No
Yes
No No
Yes
No
Yes
Failure of O.U. main
PCB
Remove terminals of Transmission
between I.U.and O.U.
Reconnect terminals of
Transmission between I.U.and O.U.
Yes
Next page

Table of Contents

Other manuals for Hisense AHM-080HCDSAA

Related product manuals