EasyManua.ls Logo

Leviton 600 - Page 156

Leviton 600
256 pages
Print Icon
To Next Page IconTo Next Page
To Next Page IconTo Next Page
To Previous Page IconTo Previous Page
To Previous Page IconTo Previous Page
Loading...
Chapter 9 Patching
Page 144 Rev. 1.30.03.07.r1
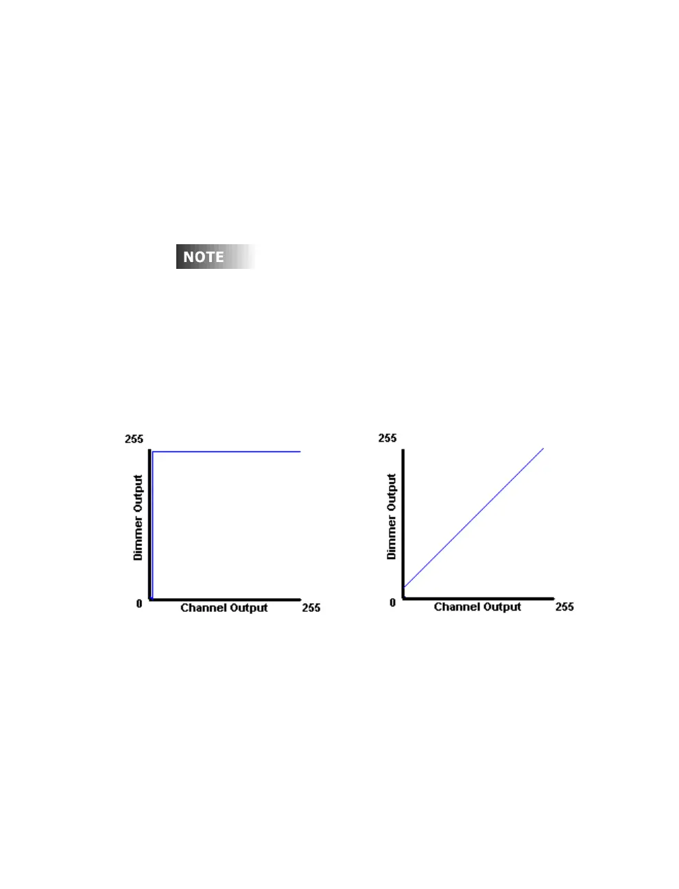
Non-Dim Dimmers (Virtual Non-Dims)
You can make any dimmer behave like a non-dim dimmer by creating a
custom profile that forces the dimmer to full at some point during the fade.
This means that the actual dimmer output on stage is zero until the dimmer
level in the fade reaches a “trigger level” at which point the dimmer output
immediately goes to Full. This is useful for practical lighting on your set,
such as table lamps, or other lights that actors may turn on “on cue.
Remember however, that the dimmer will need to be recorded at FULL in
the cue. See figure 9.5 below for an example of a non-dim profile.
When you assign a virtual non-dim at the console, it has no effect on
the settings at your dimmer rack. The dimmer output continues to be
regulated voltage if your dimmer rack regulates the output voltage of
your dimmers. For this reason, the virtual non-dim setting is not
recommended for use with motors, ballasts, and other inductive loads.
A “true non-dim” setting at the dimmer rack should be used for these
types of loads. Consult the operation manual for your dimmer rack.
Figure 9.5 Non-Dim Figure 9.6 Filament Pre-Heat
Another type of a custom profile you may wish to create is a profile which
pre-heats the lamp filament as this may increase lamp life. See figure 9.6
above.
The default curve (Profile 0) of the console is linear and not editable. There
are 16 customizable profiles available for editing in the console and
procedures are shown in the following section in this chapter.

Table of Contents

Related product manuals