EasyManua.ls Logo

R&S FSV3000 Series - Page 149

R&S FSV3000 Series
1268 pages
To Next Page IconTo Next Page
To Next Page IconTo Next Page
To Previous Page IconTo Previous Page
To Previous Page IconTo Previous Page
Loading...
Measurements and Results
R&S
®
FSVA3000/ R&S
®
FSV3000
149User Manual 1178.8520.02 ─ 01
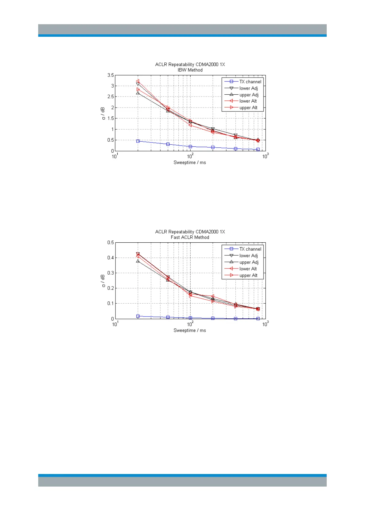
Figure 7-22: Repeatability of adjacent channel power measurement on CDMA2000 standard signals if
the integration bandwidth method is used
The Figure 7-23 shows the repeatability of power measurements in the transmit chan-
nel and of relative power measurements in the adjacent channels as a function of
sweep time. The standard deviation of measurement results is calculated from 100
consecutive measurements. Consider the scaling when you compare power values.
Figure 7-23: Repeatability of adjacent channel power measurements on CDMA2000 signals in the fast
ACLR mode
7.3.3.3 Recommended Common Measurement Parameters
The following sections provide recommendations on the most important measurement
parameters for channel power measurements.
Channel Power and Adjacent-Channel Power (ACLR) Measurement

Table of Contents

Other manuals for R&S FSV3000 Series

Related product manuals