EasyManua.ls Logo

Scanlab RTC 5 PC Interface Board - Variable Polygon Delay

Scanlab RTC 5 PC Interface Board
622 pages
Print Icon
To Next Page IconTo Next Page
To Next Page IconTo Next Page
To Previous Page IconTo Previous Page
To Previous Page IconTo Previous Page
Loading...
RTC
®
5 PC Interface Board
Rev. 1.9 e
7 Basic Functions for Scan Head and Laser Control
104
innovators for industry
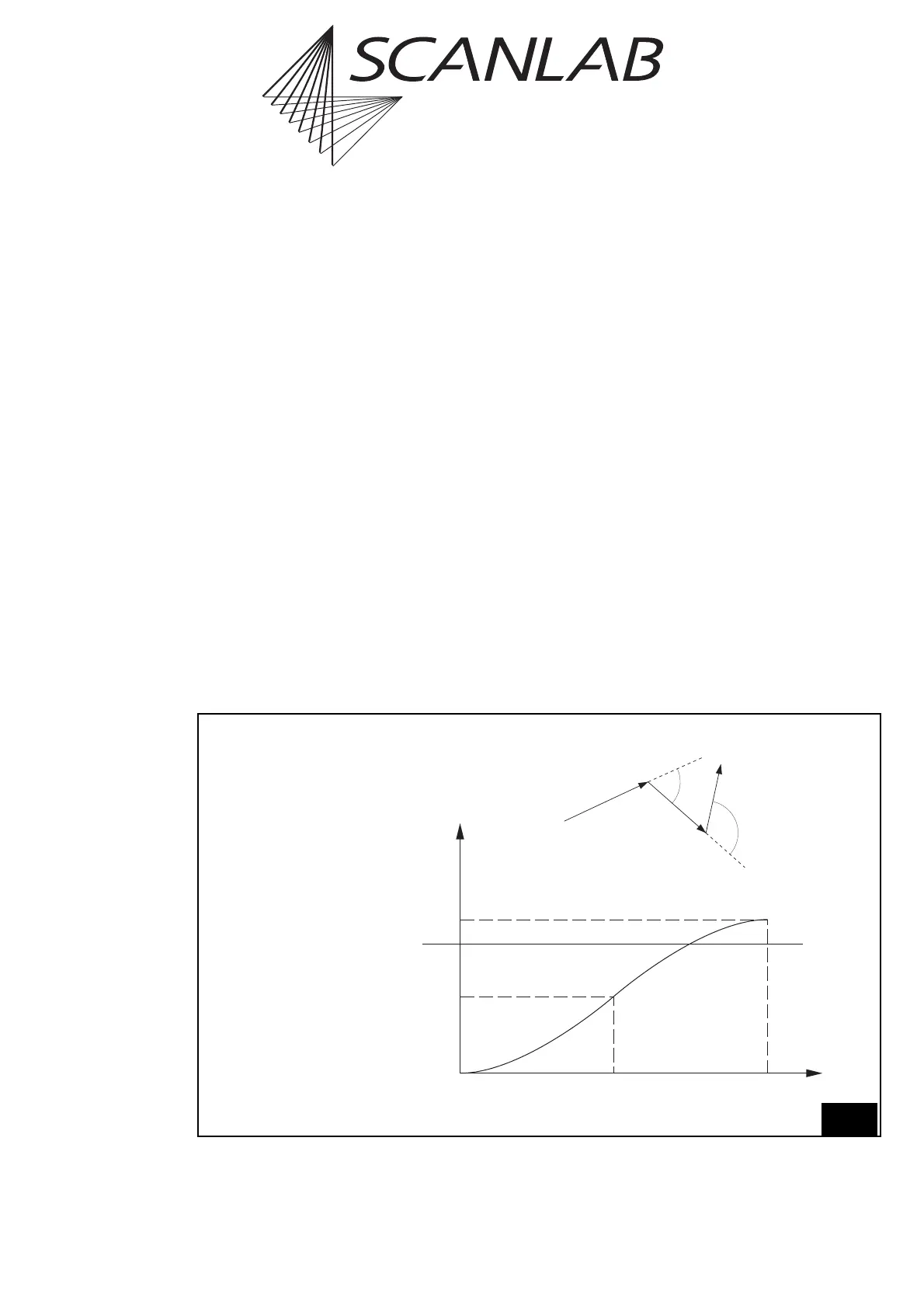
Variable Polygon Delay
A variable polygon delay mode can be activated via
the command set_delay_mode or
set_delay_mode_list. In this mode, the RTC
®
5
allows varying the length of the polygon delay,
depending on the angle between the two
successive marking vectors – see figure 34.
For each corner of the polyline, the RTC
®
5 calculates
the variable polygon delay v_delay() as follows:
v_delay()=scale()
· polygon_delay,
where scale() is a scaling function (0 scale() 2).
The parameter polygon_delay is set by the command
set_scanner_delays.
Figure 34 (bottom) shows the default scaling
function.
This standard curve can be replaced by a customized
curve. See "Customizing the Variable Polygon Delay"
on page 106.
Edgelevel
Figure 34 shows that the variable polygon delay
becomes quite long if the angle is close to 180°.
This might lead to burn-in effects in the sharp corners
of the polyline. To avoid this, the user can define a
so-called
edgelevel
: If the polygon delay between
two mark or arc commands is longer than or equal to
this value, the RTC
®
5 turns the laser off after the first
mark or arc command upon reaching the
edgelevel
(after inserting a LaserOff delay) and starts a new
polyline at the beginning of the next mark or arc
command. Also see figure 35 on page 105. Before
the laser is switched on, the polygon delay will also
(if required) be extended until the LaserOff delay has
completely finished.
For further details see set_delay_mode, page 415.
Edgelevel
Average delay, defined
by set_scanner_delays
Maximum
34
Variable Polygon Delay
Top: Definition of the angle
Bottom: Variation of the polygon delay (default curve)
f
2
f
1
ff
180°90°
0
scale(f)
1
2
1 – cos(f)
Angle between the
vectors of a
polygon

Table of Contents

Related product manuals