EasyManua.ls Logo

ARTERY AT32F421C8T7 - Programming Operation; Figure 5-5 System Data Area Programming Process

Default Icon
337 pages
Print Icon
To Next Page IconTo Next Page
To Next Page IconTo Next Page
To Previous Page IconTo Previous Page
To Previous Page IconTo Previous Page
Loading...
AT32F421 Series Reference Manual
2022.11.11 Page 68 Rev 2.02
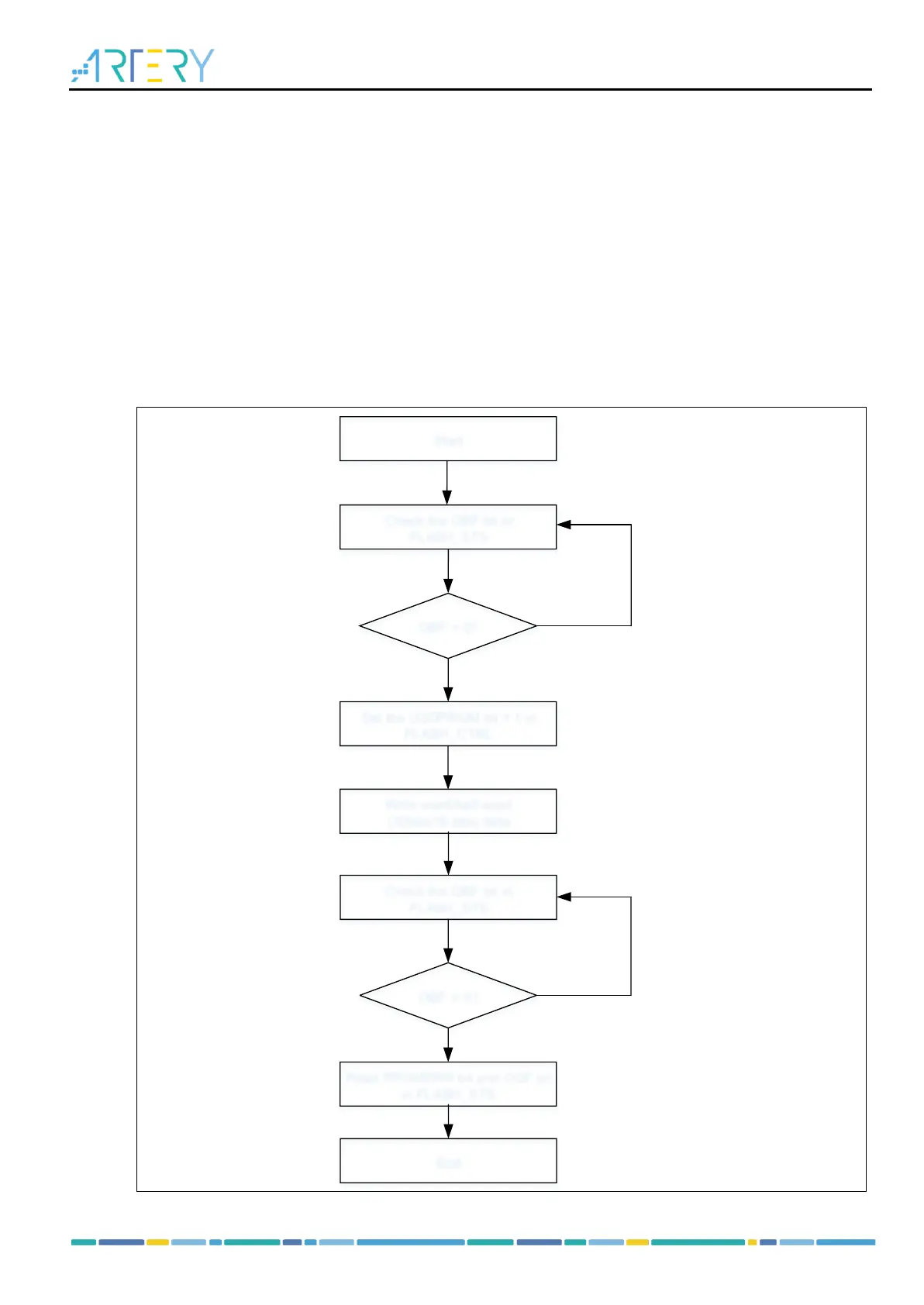
5.4.3 Programming operation
The User system data area can be programmed with 16-bit or 32-bit data at one time.
The following process is recommended:
Check that no Flash memory operation is ongoing by checking the OBF bit in the FLASH_STS
register
Set the USDPRGM bit in the FLASH_CTRL register, so that the programming instructions for the
user system data area can be received;
Write the data (half-word/word) to be programmed to the designated address;
Wait until the OBF bit in the FLASH_STS register becomes “0”, read the PRGMERR and ODF bit
to verify
Note: Read operation to the Flash memory during programming halts CPU until the completion of
programming. The internal HICK must be enabled prior to programming operation.
Figure 5-5 System data area programming process
OBF = 0?
Set the USDPRGM bit = 1 in
FLASH_CTRL
Write word/half-word
(32bits/16 bits) data
No
Yes
Start
Check the OBF bit in
FLASH_STS
No
Check the OBF bit in
FLASH_STS
OBF = 0?
Yes
Read PRGMERR bit and ODF bit
in FLASH_STS
End

Table of Contents