EasyManua.ls Logo

Intel 8253 - Page 237

Intel 8253
773 pages
Print Icon
To Next Page IconTo Next Page
To Next Page IconTo Next Page
To Previous Page IconTo Previous Page
To Previous Page IconTo Previous Page
Loading...
Other Dynamic Measurements
All the timing and control signals (i.e. Convert,
Data_Ready, Read, Data, …) must be tested at full speed
to ensure their functionality,
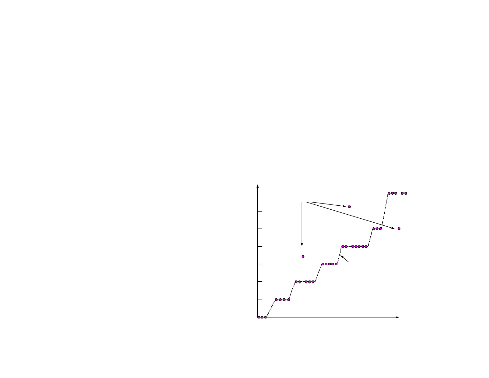
input analog voltage
digital output code
transition point
Sparkling
The output from a sinewave
input can also be observed in
time-domain to make sure
there is no sparkling (sudden
out-of-range samples).

Table of Contents