EasyManua.ls Logo

BEAMEX MC4 - As Left Calibration

BEAMEX MC4
224 pages
Print Icon
To Next Page IconTo Next Page
To Next Page IconTo Next Page
To Previous Page IconTo Previous Page
To Previous Page IconTo Previous Page
Loading...
Phases of Instrument Calibration
MC4 User Guide 127
As Left Calibration
The As Left calibration document the state of the instrument after the
possible adjustment. If the As Found calibration proves to be good
and no adjustment is needed, you may omit the As Left calibration.
0
0 2 5 5 0 7 5 1 0 0 %
E r r o r
0
0 2 5 5 0 7 5 1 0 0 %
E r r o r
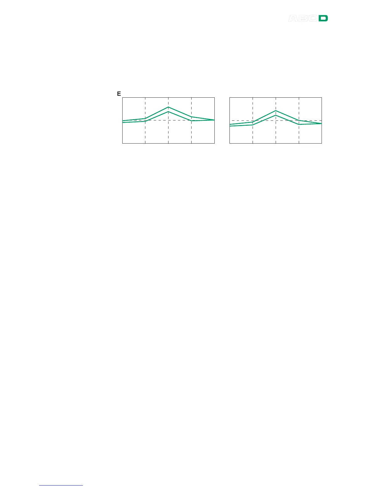
The pictures above display different As Left calibration graphs after
two different kinds of adjustments.
In the leftmost picture, the error is minimized at the end points of the
instrument range. This results in a relatively notable error in the mid-
dle of the span. If the middle of the span is the area, where the
measurement is usually situated, then this method is not recom-
mended.
The rightmost picture displays the error graph when the maximum
error is minimized by "lowering the graph". As a result, the error min-
imum is at approx. 30 % and 70 % of the span.
Note that these adjustment strategies are just examples. There is an
unlimited amount of "correct" ways to adjust an instrument.

Table of Contents

Related product manuals