EasyManua.ls Logo

Lenze 8400 - Page 549

Lenze 8400
1590 pages
Print Icon
To Next Page IconTo Next Page
To Next Page IconTo Next Page
To Previous Page IconTo Previous Page
To Previous Page IconTo Previous Page
Loading...
Lenze · 8400 HighLine · Reference manual · DMS 12.0 EN · 06/2017 · TD23 549
8 Basic drive functions (MCK)
8.4 Basic settings
_ _ _ _ _ _ _ _ _ _ _ _ _ _ _ _ _ _ _ _ _ _ _ _ _ _ _ _ _ _ _ _ _ _ _ _ _ _ _ _ _ _ _ _ _ _ _ _ _ _ _ _ _ _ _ _ _ _ _ _ _ _ _ _
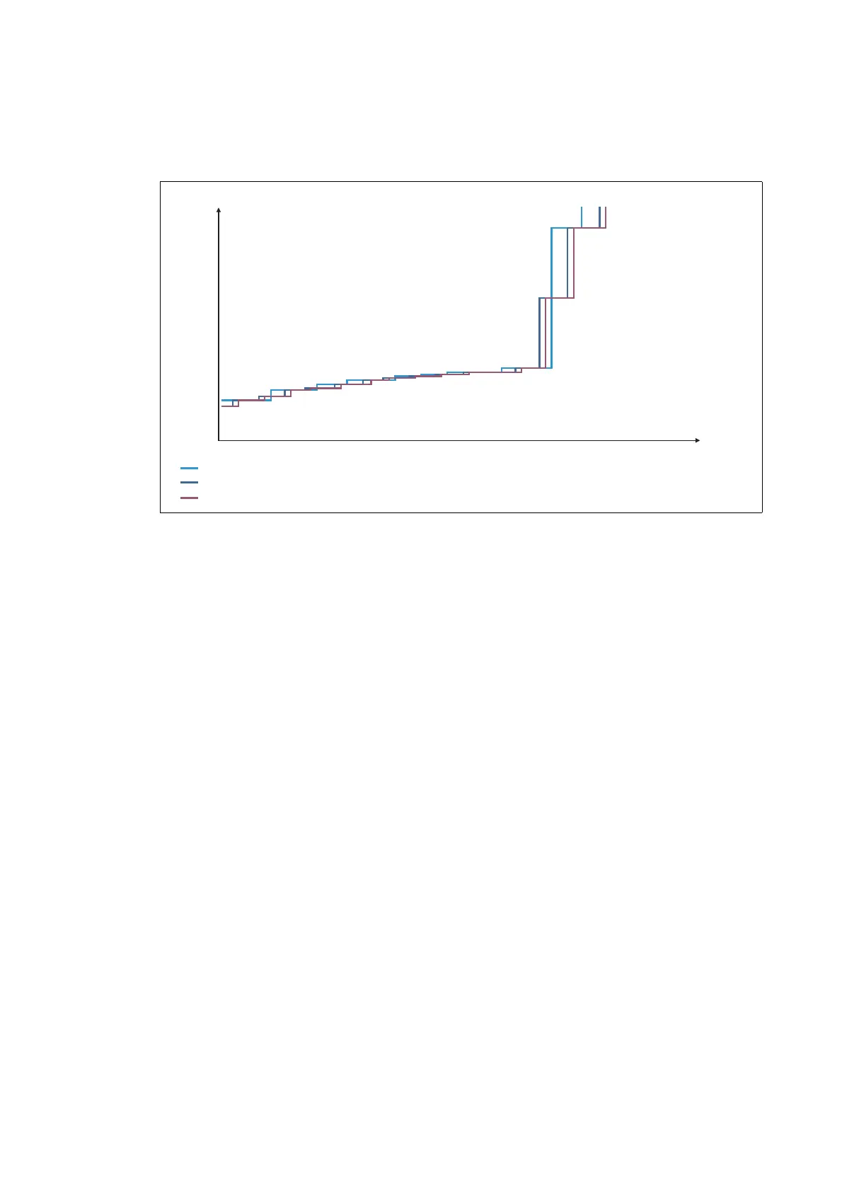
In example 2, the setpoint holdback in the master is set to 2 ms. This removes the offset between
master and slave. Only time differences are visible due to the telegram runtimes on the bus.
[8-23] Example 2: Runtime behaviour with setpoint holdback = 2 ms
Setpoint at the output of the Motion Control Kernel (is transferred to the slaves via fieldbus)
Effective setpoint of the motor control in the master
Effective setpoint of the motor control in the slave
t

Table of Contents

Other manuals for Lenze 8400

Related product manuals