EasyManua.ls Logo

Datalogic Magellan 8500Xt - Page 100

Datalogic Magellan 8500Xt
480 pages
Print Icon
To Next Page IconTo Next Page
To Next Page IconTo Next Page
To Previous Page IconTo Previous Page
To Previous Page IconTo Previous Page
Loading...
4-12 Magellan
TM
8500Xt Scanner
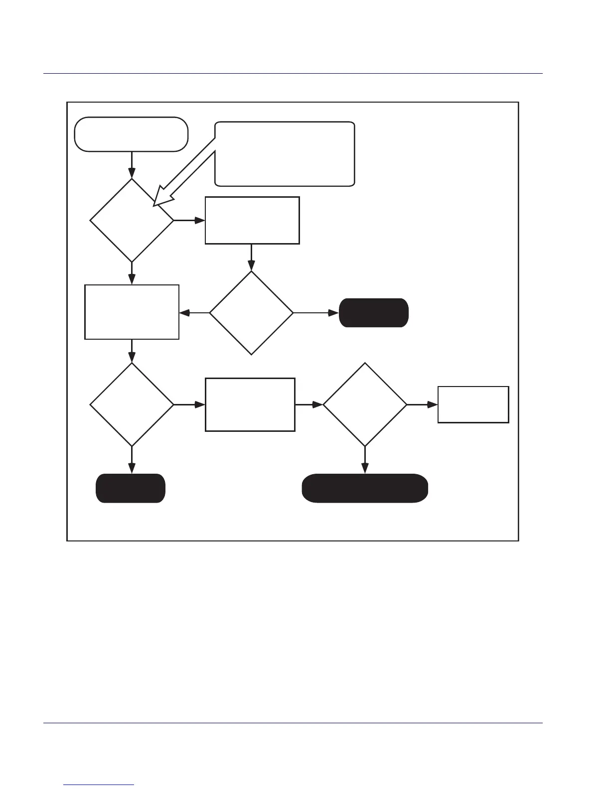
Figure 4-8. Problem Isolation: Remote Display
Call Tech Support
DONE
DONE
REMOTE DISPLAY
START
YES
YES
YES
YES
NO
NO
NO
NO
Is the
unit configured
for a Remote
Display
?
Is the
problem
fixed
?
Is the
problem
fixed
?
Is the
problem
fixed
?
Replace the
Remote Display
Use the programming bar
codes in Section 6 to
enable operation using a
Remote Display.
Verify that the Remote
Display cable is securely
attached to the external
Remote Display port and
reset the scanner.
Scanner-scale models that include
a Remote Display when shipped
from the factory, are configured
for use with the display. If you're
unsure of the settings for your
unit, contact Tech Support.
Re-connect using a
known-good Remote
Display. Reset the
scanner and retest.

Table of Contents

Other manuals for Datalogic Magellan 8500Xt

Related product manuals