EasyManua.ls Logo

Larson Davis 831 - Page 471

Larson Davis 831
548 pages
Print Icon
To Next Page IconTo Next Page
To Next Page IconTo Next Page
To Previous Page IconTo Previous Page
To Previous Page IconTo Previous Page
Loading...
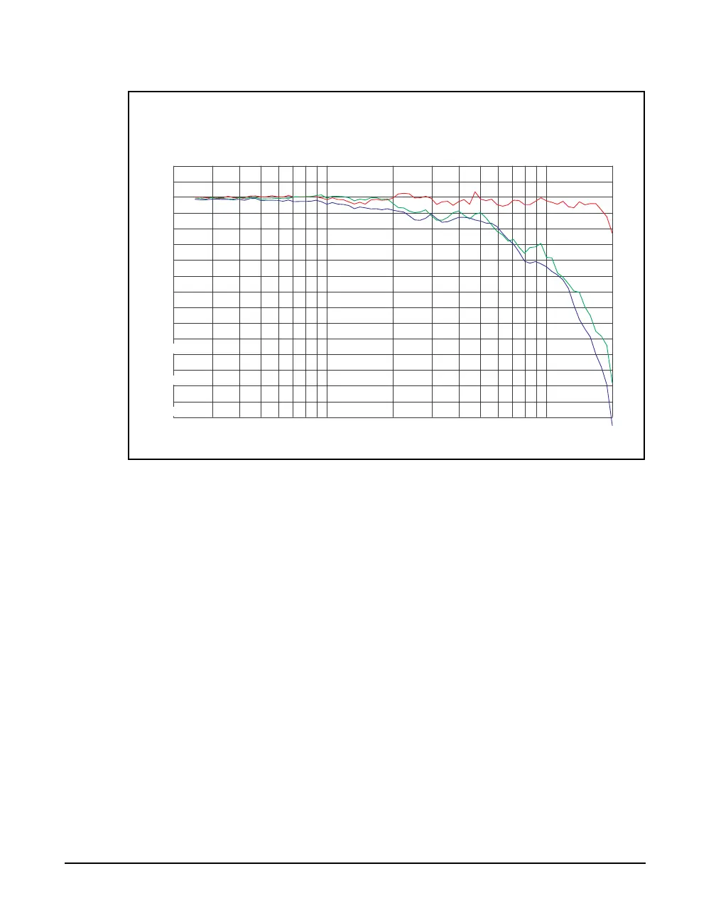
A-34 Frequency Response Model 831 Manual
FIGURE A-13 Model 831 with 377B02 Microphone: 3090and 150degrees
LD Model: 831, Serial #: 0099, Normalized to 251.19Hz @ 0° xy
Tested 02/03/06 15:13:24 by Alex T.
Note: 377B02/100916 PRM831/0118
Reference Mic: B&K Model: 4189, Serial Number: 2440346, Tested: 02/03/06 10:50:56
2.0
dB
0.0
dB
-2.0
dB
-4.0
dB
-6.0
dB
-8.0
dB
-10.0
dB
-12.0
dB
-14.0
dB
200 Hz 1K Hz 20K Hz
Mic 30° Mic 90° Mic 150°

Table of Contents

Related product manuals