EasyManua.ls Logo

Schweitzer Engineering Laboratories SEL-311C - Figure 9.8 I. E. C. Class C Curve (Extremely Inverse): C3

Schweitzer Engineering Laboratories SEL-311C
748 pages
Print Icon
To Next Page IconTo Next Page
To Next Page IconTo Next Page
To Previous Page IconTo Previous Page
To Previous Page IconTo Previous Page
Loading...
9.13
Date Code 20060320 Instruction Manual SEL-311C Relay
Setting the Relay
Time-Overcurrent Curves
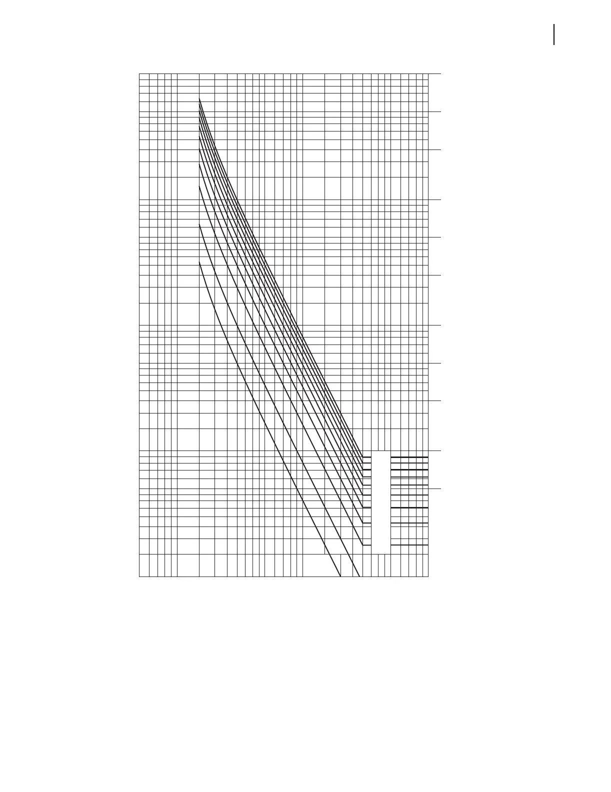
Figure 9.8 I. E. C. Class C Curve (Extremely Inverse): C3
.01
.5 .6 .7 .8 .9 1
.02
.03
.04
.05
.09
.07
.06
.08
.1
.2
.3
.4
.5
.7
.6
.9
.8
1
423 56789
10
40
20
30
70
50
60
80
90
100
80
10
2
3
6
4
5
7
9
8
20
50
30
40
60
70
100
90
0.20
0.10
0.05
1.00
0.90
0.80
0.70
0.60
0.50
0.40
0.30
Time in Seconds
Multiples of Pickup
Time in Cycles 60 Hz (50Hz)
3 (2.5)
6 (5)
15 (12.5)
30 (25)
60 (50)
600 (500)
150 (125)
300 (250)
1500 (1250)
3000 (2500)
6000 (5000)

Table of Contents

Related product manuals