EasyManua.ls Logo

BERTHOLD TECHNOLOGIES Uni-Probe LB 490 - Fault Current

BERTHOLD TECHNOLOGIES Uni-Probe LB 490
730 pages
Print Icon
To Next Page IconTo Next Page
To Next Page IconTo Next Page
To Previous Page IconTo Previous Page
To Previous Page IconTo Previous Page
Loading...
38477BA2B
5 – 548 25.5.09
9 Error Handling Volume 5
9.7 Fault Current
There are five different ways how the current output should
respond to errors:
Max.: Hold at 24mA.
Min.: Hold at 3.5mA.
Hold: Hold last measured value.
Value: Hold at a selected value between 3.5 and 24mA. The
respective value has to be defined on the
CURRENT OUTPUT
menu (see page 5–463).
Value, following Min./Max.:
Continue at a selected value between 3.5 and 24mA. The
respective value has to be defined on the
CURRENT OUTPUT
menu (see page 5–463).
If an error occurs, the Min and Max alarm relays also follow the
fault current.
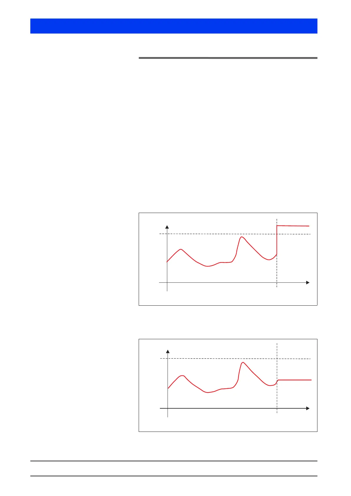
Example for Max.
Figure 9-1 Example for Max
Example for Hold
Figure 9-2 Example for Hold
20mA
0mA
Value: 24 mA
t
Error
20mA
0mA
Hold
t
Error

Table of Contents

Related product manuals