EasyManua.ls Logo

Lenze 8400 - Page 225

Lenze 8400
1590 pages
Print Icon
To Next Page IconTo Next Page
To Next Page IconTo Next Page
To Previous Page IconTo Previous Page
To Previous Page IconTo Previous Page
Loading...
Lenze · 8400 HighLine · Reference manual · DMS 12.0 EN · 06/2017 · TD23 225
5 Motor control (MCTRL)
5.8 Sensorless control for synchronous motors (SLPSM)
_ _ _ _ _ _ _ _ _ _ _ _ _ _ _ _ _ _ _ _ _ _ _ _ _ _ _ _ _ _ _ _ _ _ _ _ _ _ _ _ _ _ _ _ _ _ _ _ _ _ _ _ _ _ _ _ _ _ _ _ _ _ _ _
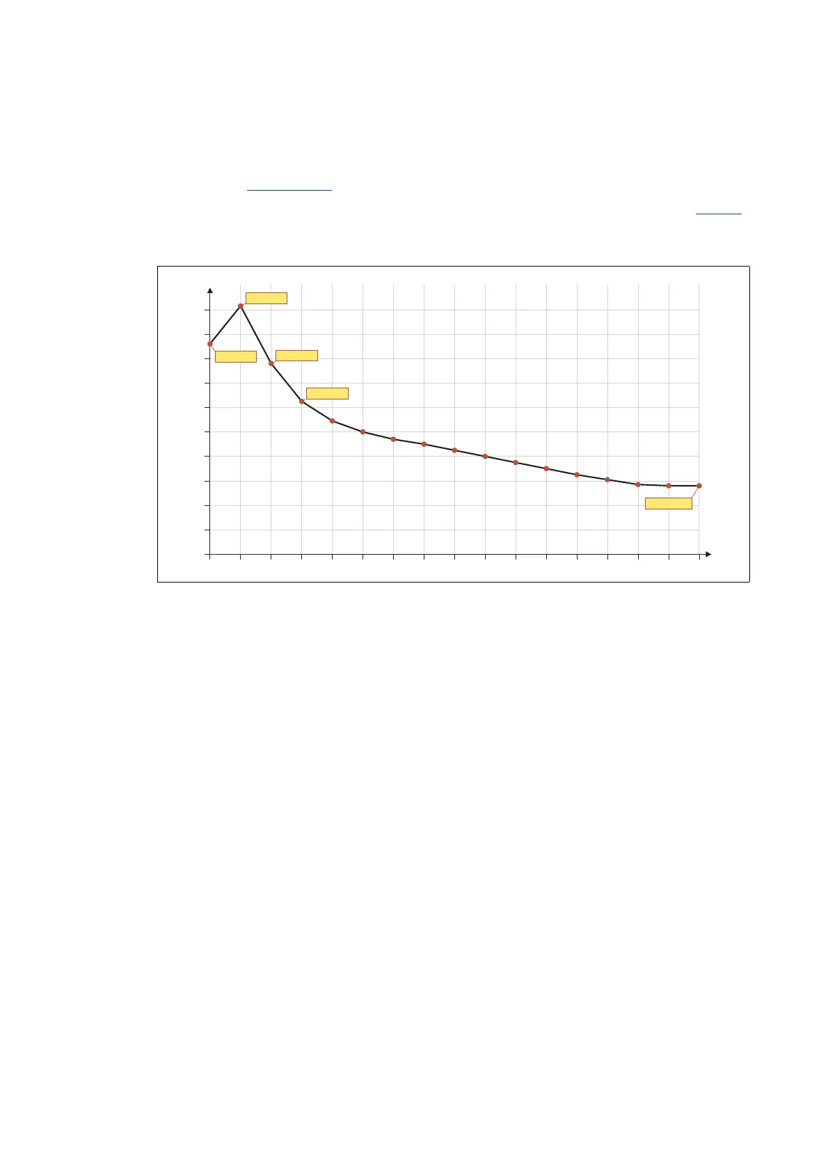
Distribution of the grid points
The saturation characteristic is represented by 17 interpolation points linearly distributed on
the X axis (C02853/1...17
).
Interpolation point 17 represents 100 % of the maximum motor current in the process (C02855
).
The following diagram shows the saturation characteristic stored in the »Engineer« motor
catalogue for the Lenze motor "MCS12H15" as an example:
[5-16] Saturation characteristic: Inductance referring to the inductance for rated current
0 6.25 12.5 18.75 25 31.25 37.5 43.75 50 56.25 62.5 68.75 75 81.25 87.5 93.75 100
I/I
max
234567891011121314151617
[%]
1
0
20
40
60
80
100
120
140
160
180
200
L/L [%]
n
C02853/1
C02853/2
C02853/3
C02853/4
C02853/17

Table of Contents

Other manuals for Lenze 8400

Related product manuals