EasyManua.ls Logo

Art Flystick2 - System Latency

Art Flystick2
275 pages
Print Icon
To Next Page IconTo Next Page
To Next Page IconTo Next Page
To Previous Page IconTo Previous Page
To Previous Page IconTo Previous Page
Loading...
A Technical specifications
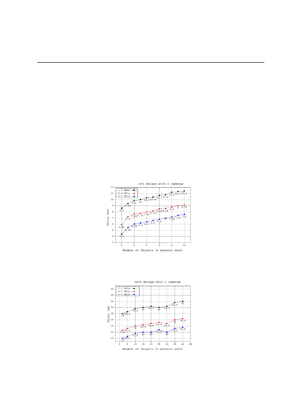
A.7 System latency
System Latency
Definition of the system latency:
The system latency is defined as the time delay between sending out the IR
flash by the cameras and the availability of the tracking data at the Controller’s
Ethernet output. The latency is a function of the number of cameras, the number
of targets, enabled or disabled 3DOF tracking and additional reflexes (e.g.
single markers). Another dependency, which is quite important, can be found in
the software version of DTrack2 being used (here: v2.8.6). We recommend to
always use the latest version in order to have the most recent features.
For ARTTRACK5 , ARTTRACK5/C and TRACKPACK/E : The ATC is trig-
gered externally with an arbitrary function generator at 20 Hz. The output
network card on the ATC is set-up with 10 MBit (ethtool -s eth0 speed 10 duplex
full), so that the network package with the tracking results can be triggered with
an oscilloscope.
ARTTRACK5 + ARTTRACK5/C
TRACKPACK/E 4 Camera System
246

Table of Contents

Other manuals for Art Flystick2

Related product manuals