EasyManua.ls Logo

HP 262SA - Block Mode Transfers

HP 262SA
390 pages
Print Icon
To Next Page IconTo Next Page
To Next Page IconTo Next Page
To Previous Page IconTo Previous Page
To Previous Page IconTo Previous Page
Loading...
~
~l
Data Communications
Block Mode Transfers
All
data
transfers
between
the
host
computer
program
and any
of
the
terminals
in
the
multipoint
configuration employ
data
blocks
made
up
of
the
following
three
parts:
Block
framing
characters
Text
(1
to n
characters,
where
n depends on
the
terminal
configuration)
Block check character(s)
The
block check
character
(BCC)
is
used to verify
that
the
data
was
received
without
error.
If
a
data
error
is
detected,
the
protocol will
normally
automatically
attempt
a
retransmission
of
the
block.
The
block protocol is designed to
operate
using
either
synchronous
or
asynchronous
communi-
cations.
Data
transmission
is
done
in
multiple
character
blocks.
The
block size
used
is
limited
by
the
size of
the
terminal's
communications buffer.
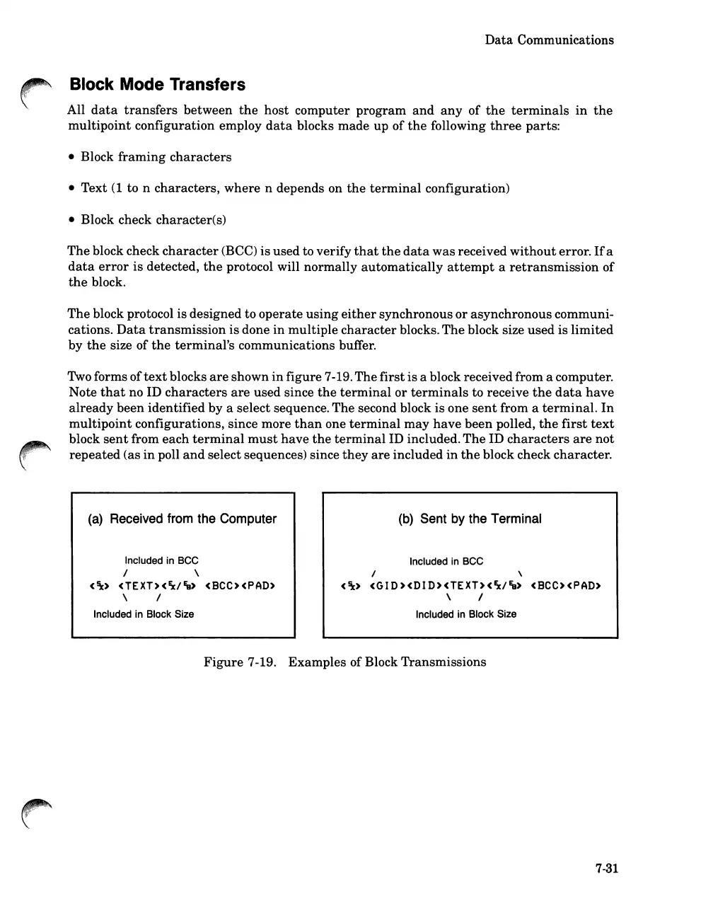
Two forms of
text
blocks
are
shown
in
figure 7-19.
The
first
is
a block receivedfrom a computer.
Note
that
no ID
characters
are
used since
the
terminal
or
terminals
to receive
the
data
have
already
been
identified by a select sequence.
The
second block
is
one
sent
from a
terminal.
In
multipoint
configurations, since more
than
one
terminal
may
have
been
polled,
the
first
text
block
sent
from
each
terminal
must
have
the
terminal
ID included.
The
ID
characters
are
not
repeated
(as
in
poll
and
select sequences) since
they
are
included
in
the
block check character.
(a) Received from the Computer
Included in BCC
/ \
(\)
(TEXT)(~/~)
(BCC)(PAD)
\ /
Included in Block Size
(b) Sent by the Terminal
Included in BCC
I \
(\)
(GID)(DID)(TEXT)(~/~)
(BCC)(PAD)
\ /
Included in Block Size
Figure
7-19.
Examples
of Block
Transmissions
7-31

Table of Contents

Related product manuals