EasyManua.ls Logo

Svantek SVAN 979 - Page 283

Svantek SVAN 979
377 pages
Print Icon
To Next Page IconTo Next Page
To Next Page IconTo Next Page
To Previous Page IconTo Previous Page
To Previous Page IconTo Previous Page
Loading...
283
SVAN 979 User Manual - Appendixes
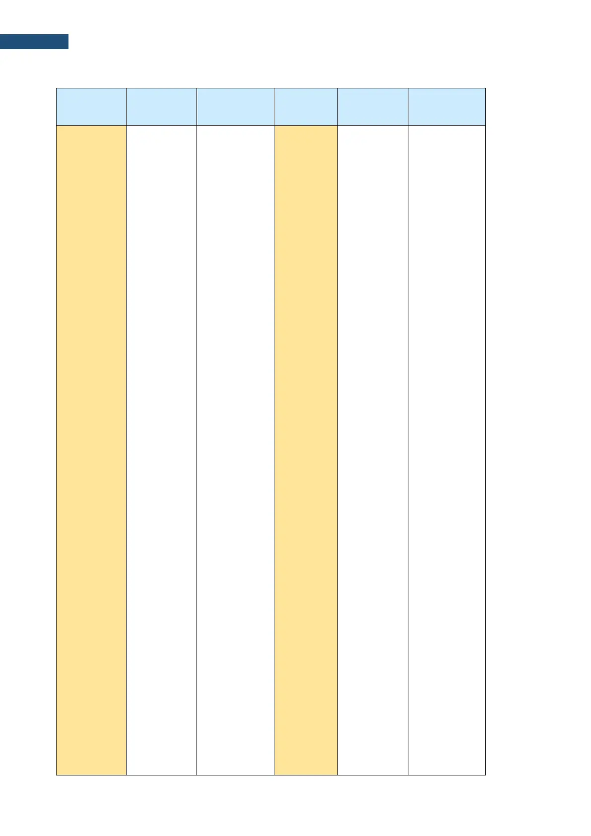
Table C.1.12. SVAN 979 effect of the SA 22 windscreen
Frequency
[Hz}
Free field
SA22 effect
[dB]
Compensated
SA22 effect
[dB]
Frequency
[Hz}
Free field
SA22 effect
[dB]
Compensated
SA22 effect
[dB]
251,19
-0,06
-0,04
2304,09
0,45
0,51
258,52
-0,06
-0,04
2371,37
0,44
0,42
266,07
-0,06
-0,05
2440,62
0,43
0,45
273,84
-0,06
-0,06
2511,89
0,43
0,50
281,84
-0,06
-0,07
2585,23
0,41
0,38
290,07
-0,05
-0,06
2660,73
0,40
0,39
298,54
-0,05
-0,04
2738,42
0,38
0,26
307,26
-0,05
-0,01
2818,38
0,37
0,26
316,23
-0,05
-0,01
2900,68
0,34
0,31
325,46
-0,04
-0,03
2985,38
0,32
0,28
334,97
-0,04
-0,06
3072,56
0,30
0,19
344,75
-0,04
-0,04
3162,28
0,28
0,22
354,81
-0,04
-0,01
3254,62
0,26
0,22
365,17
-0,03
0,03
3349,65
0,25
0,09
375,84
-0,03
0,05
3447,47
0,23
0,09
386,81
-0,03
0,03
3548,13
0,21
0,17
398,11
-0,03
0,02
3651,74
0,20
0,13
409,73
-0,02
0,02
3758,37
0,19
0,03
421,70
-0,02
0,03
3868,12
0,18
0,00
434,01
-0,01
0,01
3981,07
0,17
-0,11
446,68
-0,01
-0,02
4097,32
0,16
-0,06
459,73
0,00
-0,04
4216,97
0,17
-0,23
473,15
0,00
-0,01
4340,10
0,19
-0,03
486,97
0,01
0,06
4466,84
0,21
0,01
501,19
0,01
0,08
4597,27
0,24
-0,11
515,82
0,02
0,08
4731,51
0,27
0,14
530,88
0,03
0,09
4869,68
0,30
0,03
546,39
0,03
0,11
5011,87
0,31
-0,09
562,34
0,04
0,12
5158,22
0,31
0,01
578,76
0,04
0,10
5308,84
0,30
0,11
595,66
0,05
0,11
5463,87
0,29
-0,05
613,06
0,06
0,14
5623,41
0,27
-0,18
630,96
0,06
0,16
5787,62
0,25
-0,16
649,38
0,07
0,14
5956,62
0,24
-0,17
668,34
0,08
0,12
6130,56
0,22
-0,08
687,86
0,09
0,17
6309,57
0,17
-0,07
707,95
0,10
0,21
6493,82
0,12
-0,31
728,62
0,11
0,20
6683,44
0,15
-0,21
749,89
0,12
0,20
6878,60
0,15
-0,10
771,79
0,12
0,21
7079,46
0,14
-0,01
794,33
0,13
0,21
7286,18
0,17
-0,12
817,52
0,14
0,23
7498,94
0,20
0,07
841,40
0,15
0,22
7717,92
0,15
-0,09
865,96
0,16
0,27
7943,28
0,16
0,05
891,25
0,17
0,27
8175,23
0,17
-0,03
917,28
0,18
0,27
8413,95
0,09
-0,09
944,06
0,19
0,25
8659,64
0,05
-0,03
977,63
0,20
0,19
8912,51
0,02
0,20
1000,00
0,21
0,27
9172,76
-0,04
0,10

Table of Contents

Related product manuals