EasyManua.ls Logo

Svantek SVAN 979 - Page 362

Svantek SVAN 979
377 pages
Print Icon
To Next Page IconTo Next Page
To Next Page IconTo Next Page
To Previous Page IconTo Previous Page
To Previous Page IconTo Previous Page
Loading...
362
SVAN 979 User Manual - Appendixes
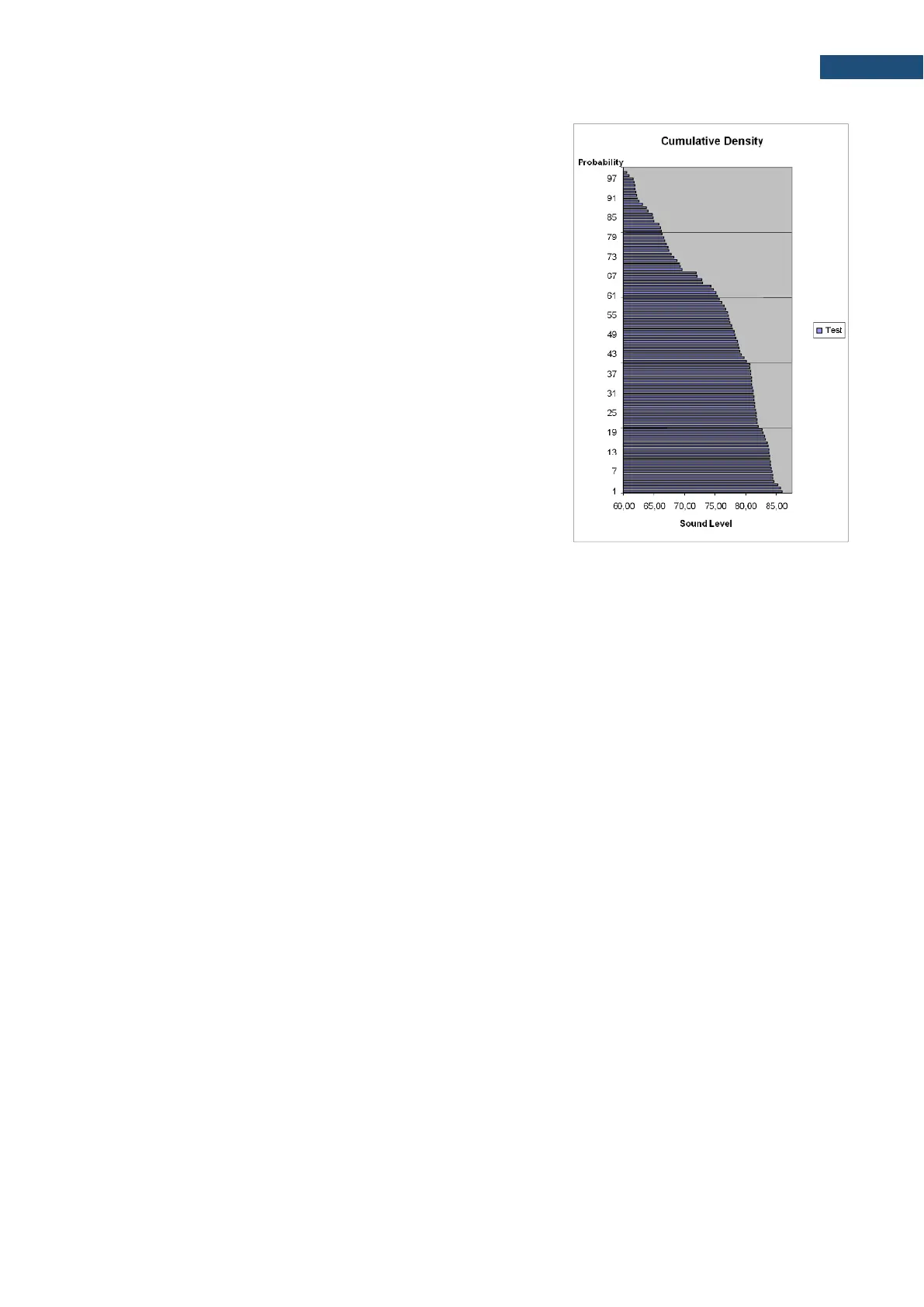
Example:
Let us assume that L35 is equal to 76.8 dB. It means that during
the measurements the noise level 76.8 dB was exceeded in not
more than 35% of the observation period.
The cumulative density function for the exemplary data is presented
in Figure on the right side. In order to determine the LN% level one
has to draw the horizontal cursor and find out the crossing point
between the cumulative density function and the cursor. In the
instrument the user can determine 10 statistical levels - from L01 to
L99 (1% step of observation period).
The display in the instrument presents only first statistical level N1
(set to: L01 up to L99).
The statistical level LN% value, the profile’s number the statistics
are taken from, the RMS detector (Lin., or Exp.: Fast, Slow or
Imp.), the filter’s name (A, C or Z) and real time are displayed in
the top-right side of the display in one-result view mode.
Exemplary cumulative density

Table of Contents

Related product manuals