EasyManua.ls Logo

GS corpuls3 - Therapeutic Functions

GS corpuls3
346 pages
Print Icon
To Next Page IconTo Next Page
To Next Page IconTo Next Page
To Previous Page IconTo Previous Page
To Previous Page IconTo Previous Page
Loading...
User Manual corpuls
3
Introduction
ENG - Version 2.1 P/N 04130.2 21
The non-invasive blood pressure function (NIBP) allows blood pressure
monitoring on one extremity. A selection of operating modes for adults, children
and infants is available.
The invasive blood pressure function (IBP) allows the invasive measurement of
various different pressures as part of intensive medical care of the patient.
These include, among others, arterial pressure, central venous pressure and
intracranial pressure, etc.
Two interfaces are available which can be assigned as single channels or as
double channels, respectively. Consequently, up to four different invasive
pressure measurements can be performed simultaneously. The recorded
pressure values can be displayed on the screen either as numerical parameters
and/or as a curve.
3.3.2 Therapeutic Functions
corpuls
3
provides the following therapeutic functions:
defibrillation
cardioversion
pacing
Defibrillation and Cardioversion
The defibrillator which operates with the corpuls
3
-specific biphasic pulse has
two operating modes:
automatic external defibrillation (AED mode)
manual defibrillation and cardioversion (manual mode)
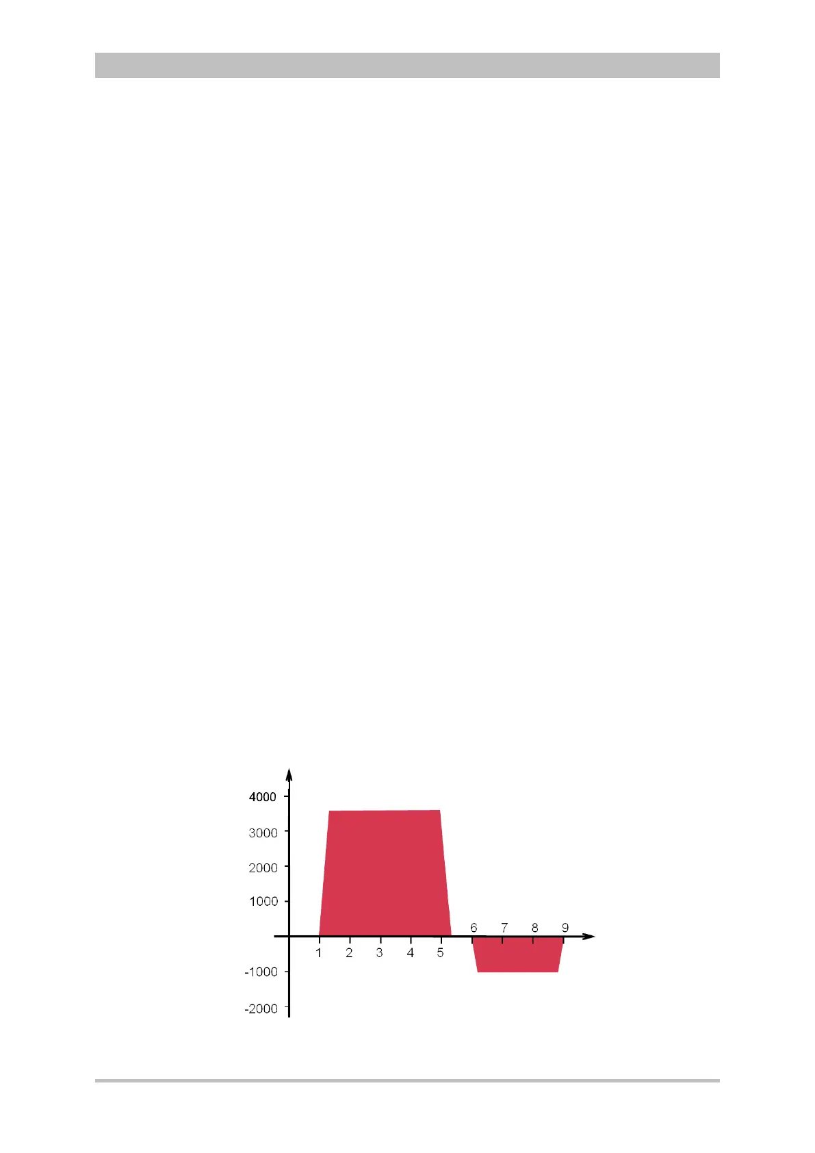
U [V]
t [ms]
Fig. 3-14 Biphasic defibrillation pulse (qualitative representation)
Non-invasive
blood pressure
(NIBP)
Invasive blood
pressure (IBP)

Table of Contents

Other manuals for GS corpuls3